Россия
TВ статье представлены результаты анализа зарубежного опыта обеспечения продовольственной безопасности в условиях мирового кризиса, а также существующих возможностей и ресурсов его адаптации в российской практике управления на национальном, региональном и корпоративном уровнях. Представлены структурно-логические схемы обеспечения продовольственной безопасности в странах с развивающейся и развитой экономикой.
продовольственная безопасность, международные сравнения, адаптация передового опыта, управление, развитие
Продовольственная безопасность в условиях глобализации и динамично развивающегося мирового сообщества, под влиянием экологических проблем продолжает обладать высоким приоритетом в структуре национальной безопасности государств. Одним из важных векторов действенного научно-методического обеспечения продовольственной безопасности в России является изучение, классифицирование и синтезирование как передового зарубежного опыта, так и анализ существующих проблемных вопросов в данной тематике среди стран с развивающейся экономикой.
Несмотря на то, что понятие продовольственной безопасности сформировалась относительно недавно, в ХХ веке, вопрос выращивания продовольствия, его качественной составляющей, формирования, наличия, сохранности запасов был актуален с момента зарождения человечества, и, по мере развития мировых цивилизаций, эволюции человечества, прогресса в науке остается актуальным по сей день. Особую остроту обеспечение продовольственной безопасности для каждого государства приобретает в периоды экономических кризисов и стагнаций, особенно в искусственно создаваемых условиях под давлением экономических санкций [2]. Изучение опыта иностранных государств позволит использовать их потенциал с учетом региональной специфики в сельскохозяйственной отрасли. Ряд стран обладают уникальной практикой формирования и совершенствования механизма обеспечения продовольственной безопасности в национальной экономике.
В современной науке продовольственную безопасность рассматривают с учетом экономической, социальной, политической, экологической детерминант. Разница в акцентах на проблему продовольственной безопасности зависит от целого комплекса самых разнообразных факторов и условий.
В развитых странах, в основном это государства Евросоюза и Северной Америки, продовольственная безопасность находится на очень высоком уровне, о чем свидетельствуют данные из статистики глобального индекса продовольственной безопасности (GFSI). Индекс продовольственной безопасности (англ. Global Food Security Index) — это глобальное исследование и сопровождающий его рейтинг стран мира по уровню продовольственной безопасности, которое выпускается британской исследовательской компанией Economist Intelligence Unit (аналитическое подразделение британской издательской группы Economist Group). Исследование проводится с 2012 года и на данный момент представляет наиболее полный комплекс показателей состояния продовольственной безопасности по различным странам мира.
Индекс измеряет политику государств и эффективность работы их учреждений в сфере продовольственной безопасности. В исследовании представлен анализ трёх основных групп показателей продовольственной безопасности стран мира:
- Уровень доступности и потребления продуктов питания.
- Наличие и достаточность продуктов питания.
- Уровень качества и безопасности продуктов питания.
Указанные категории включают 68 различных показателей, значения которых измеряются в течение двухлетнего периода. При расчёте используются данные международных организаций и национальных институтов. На основе анализа показателей составляется итоговый рейтинг стран мира по Индексу продовольственной безопасности. Высокая позиция страны в рейтинге означает, что её продовольственная безопасность находится на высоком уровне (таблица 1).
Таблица 1. Рейтинг стран мира (охватывает 113 государств) по уровню продовольственной безопасности (англ. Economist Intelligence Unit: Global Food Security Index 2022)
|
Позиция в рейтинге |
Рейтинг стран |
Общая оценка |
Экономическая доступность продовольствен-ных ресурсов |
Физическая доступность продовольствия для населения |
Качество и безопасность продовольственных ресурсов |
Устойчивое развитие и адаптация сельского хозяйства |
|
|
1 |
Финляндия |
83,7 |
91,9 |
70,5 |
88,4 |
82,6 |
|
|
2 |
Ирландия |
81,7 |
92,6 |
70,5 |
86,1 |
75,1 |
|
|
3 |
Норвегия |
80,5 |
87,2 |
60,4 |
86,8 |
87,4 |
|
|
4 |
Франция |
80,2 |
91,3 |
69 |
87,7 |
70,3 |
|
|
6 |
Япония |
79,5 |
89,8 |
81,2 |
77,4 |
66,1 |
|
|
7 |
Канада |
79,1 |
88,3 |
75,7 |
89,5 |
60,1 |
|
|
9 |
Велико-британия |
78,8 |
91,5 |
71,6 |
77,6 |
71,1 |
|
|
13 |
США |
78 |
87,1 |
65,1 |
88,8 |
69,4 |
|
|
19 |
Германия |
77 |
87,9 |
67 |
79,9 |
70,8 |
|
|
25 |
Китай |
74,2 |
86,4 |
79,2 |
72 |
54,5 |
|
|
32 |
Казахстан |
72,1 |
78 |
67,2 |
76,3 |
65,4 |
|
|
43 |
Россия |
69,1 |
77,8 |
61,4 |
78,7 |
56,6 |
|
|
55 |
Беларусь |
64,5 |
67,8 |
61,9 |
69 |
58,5 |
|
|
68 |
Индия/ Алжир |
58,9 |
59,3 |
62,3 |
62,1 |
51,2 |
|
|
71 |
Украина |
57,9 |
66,6 |
48,1 |
71,3 |
43,5 |
|
|
далее идут страны Африканского континента. |
|||||||
Гипотеза данного исследования состоит в том, что анализ, систематизация, обобщение опыта зарубежных государств, как развитых, так и развивающихся, позволит обозначить потенциально эффективные направления развития базы обеспечения продовольственной безопасности, выявить действенные механизмы государственной поддержки сельскохозяйственной, пищевой и сопутствующих отраслей, а также действующих моделей развития различных направлений на национальных уровнях.
Проблематика международных сравнительных исследований в сфере обеспечения продовольственной безопасности получила развитие в работах таких ученых, как: Колесняк А.А. [1], Балабанов В.С., Борисенко Е.Н. [2], Кондрат Е.Н., Петров П.А., Сальников М.В. [3], Боброва Л. Б. [4], Белова И.Н., Тихомирова В.А. [5], Галицкая Н. В. [6], Елагина А.С. [7], Черняков Б.А. [8], Хромов Ю.С. [9], Кобец П.Н. [10], Кравченко А.А. [11; 12].
Нами был проанализирован, систематизирован и обобщен опыт ряда стран, как лидеров, так и догоняющих, в сфере обеспечения продовольственной безопасности. В ходе анализа учитывалась позитивная практика, используемая в деятельности международных организаций и различных институтов.
Информационной базой данного этапа исследования были работы зарубежных и российских авторов, а также первичная информация из методической литературы и открытых информационных источников свободного доступа национальных институтов по вопросам продовольственной безопасности и специализированных международных организаций.
При анализе подходов к обеспечению продовольственной безопасности в развитых и развивающихся странах, наблюдается определенная вариативность в решении данной проблематики.
В развитых странах, особое внимание при обеспечении продовольственной безопасности уделяется поддержанию экологического равновесия, сохранению природных ресурсов, применении «зеленых» технологий в аграрном производстве, качеству и безопасности продовольствия, защите прав потребителей, социальным гарантиям для незащищенных слоев общества.
В экономически развивающихся странах (Рисунок 1), агропромышленный комплекс является одновременно и источником самообеспечения продовольственными ресурсами и экспортноориентированной отраслью экономики.
Вопросы получения экономической прибыли обычно превалируют над вопросами заботы об экологии, кроме того применение инновационных технологий, научных достижений, доступных развитым странам, является ограниченно доступными. В проблемных регионах, в основном это государства Африки, некоторые страны Южной Америки и Юго-Восточной Азии, проблема продовольственной безопасности акцентирована на ее основополагающих аспектах – на самом факте наличия и физической доступности продовольствия для населения.
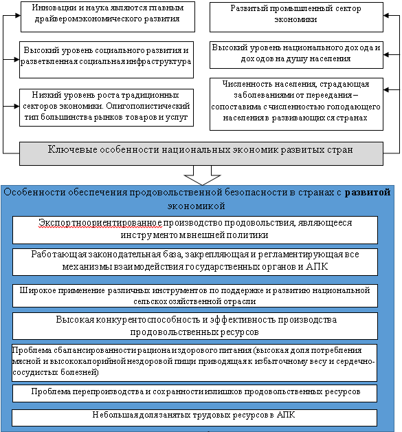
Иные подходы к развитию сельскохозяйственной отрасли и обеспечению продовольственной безопасности сформировались в государствах, занимающих лидирующие позиции рейтинга (Рисунок 2). Экономическое развитие, уровень национального дохода несомненно важны в данном вопросе, но не являются основным коррелирующим показателем, обеспечивающим полную и всеобъемлющую продовольственную безопасность государства.

Рисунок 1. Структурно-логическая схема обеспечения продовольственной безопасности стран с развивающейся экономикой


Рисунок 2. Структурно-логическая схема обеспечения продовольственной безопасности стран с развитой экономикой
В различных регионах мира, а также на уровне международных объединений и союзов сформировались вариативные модели по вопросам обеспечения продовольственной безопасности, которые отличаются рядом характеристик. Данные параметры определяются прежде всего принципиальными отличиями в сфере государственной политики в их отношении, природно-географическими и климатическими условиями государств.
На наш взгляд является актуальным вопрос сравнительного анализа государственной политики в сфере поддержки и развития сельского хозяйства как основного источника производства продовольственных ресурсов. С этой целью нами был произведен обзор и исследование зарубежной литературы. Анализ, обобщение и систематизация полученной информации позволили выявить ряд сложившихся национальных моделей в сфере продовольственной безопасности, отдельные критерии которых могут быть в дальнейшем адаптированы к использованию в нашей стране (таблица 2).
На рисунке 3 представлена схема перспективных направлений, а также существующих возможностей и ресурсов адаптации отдельных зарубежных практик развития АПК и обеспечения продовольственной безопасности в Российской Федерации. На данной схеме графически изображены наиболее перспективные зарубежные практики с точки зрения оперативного получения эффекта развития национальной аграрной отрасли в результате их распространения в нашей стране. Также обозначены существующие ресурсы и возможности, которые могут быть использованы для формирования конкурентных преимуществ сельскохозяйственного сектора и пищевой промышленности в экономике Российской Федерации.
В числе ресурсов и возможностей, которые могут способствовать оперативной адаптации отдельных зарубежных позитивных практик развития агропромышленного сектора в Российской Федерации следует отметить следующие. Прежде всего это диверсифицирование рынков сбыта и приобретения как сельскохозяйственной продукции, так и промышленного и технологического оборудования необходимого в отрасли. Успешный опыт КНР в вопросах продовольственной безопасности может оказаться весьма актуальным в современных условиях, кроме того взаимовыгодные долгосрочные партнерские отношения в данной сфере будут способствовать осуществлению необходимых мероприятий.
Введение государственной монополии на экспорт стратегической продовольственной продукции на начальных этапах может снизить поступления финансов в бюджет, однако параллельные действия по поиску новых экспортных рынков с одновременным введением системы государственного заказа у отечественных сельхозпроизводителей, которые смогут перекрыть их затраты, смогут снизить санкционное давление оказываемое на наше государство.
Таблица 3.
|
Страны |
Инструменты обеспечения продовольственной безопасности |
Внешнеторговая политика в отношении сельскохозяйственного сырья, продовольственной продукции, сопутствующих товаров |
Государственная политика в сельскохозяйственной отрасли и пищевой промышленности |
Государственная политика в обеспечении продовольственной безопасности |
Организационно-правовые формы в АПК |
Перспективные возможности адаптации передового опыта в России |
|
США, Канада |
Использование наукоемких, инновационных, биологических технологий, передовых разработок научно-технического прогресса в сельском хозяйстве и пищевой промышленности, высокая квалификация трудовых ресурсов в отрасли. |
Импорт сельскохозяйственного сырья из развивающихся стран, экспорт собственной переработанной продукции, экспорт собственного сырья, продукции, технологий как инструмента внешней политики |
Политика протекционизма, монокультурность фермерских хозяйств с целью максимизации прибыли |
Функционирование правительственных, общественных, некоммерческих продовольственных фондов, банков, организаций которые могут оказать реальную гуманитарную помощь нуждающимся либо помочь в развитии собственных хозяйств |
Индивидуальные фермы, семейные партнерства, корпоративные фермерские хозяйства, |
Повышение наукоемкости и использования инновационных технологий в аграрной отрасли и пищевой промышленности. Развитие системы продовольственных фондов и организаций. |
|
Япония |
Рациональное использование любой свободной территории, высокая наукоемкость и использование технологических средств производства |
Снижение импортозависимости и диверсифицирование рынков сбыта и приобретения продукции. |
Система закупочных цен для местных хозяйств, система грантов для привлечения трудовых ресурсов в сельскую местность, повышение образовательного уровня фермеров. |
Строгий контроль за обеспечением качества и безопасности производимой и импортной продукции |
Небольшие фермерские хозяйства, в перспективе их укрупнение с целью повышения эффективности производства |
Развитие инфраструктуры сельских территорий, использование грантов и льгот для начинающих сельскохозяйственное производство, использование системы твердых закупочных цен сельскохозяйственного сырья и продукции. Усиление контроля за качеством импортной продукции |
|
Китай |
Строительство новых видов ферм –вертикальные с использованием инноваций, сити-фермерство, долгосрочная аренда пустующих земель в России, высокая механизация и автоматизация производства |
Импорт сырья, отдается предпочтение негенномодифицированной продукции, импорт племенной скотины, экспорт переработанной продукции, экспорт стратегически важных товаров и сырья находится под государственной монополией |
Сильная законодательная база, использование возможностей электронных технологий, субсидирование фермерам на селекцию зерна и приобретение сельхозинвентаря, система госзаказа на производимую продукцию, льготные кредиты, социальная помощь сельскому населению |
Акцент на повышении качества производимой и импортируемой продукции из-за проблем с экологией в стране. |
От небольших хозяйств до крупных корпоративных предприятий |
Государственная монополия на экспорт стратегического сырья, система госзаказа для местных фермеров, которая обеспечит им покрытие всех затрат. |
|
Германия |
Механизация производства, агропромышленные технологии, использование искусственных удобрений, широкое применение технических новинок |
Импорт рыбопродукции, экспорт живых животных, животной и растительной продукции, сельскохозяйственной техники |
Замкнутая система правовых норм и контроля на всех этапах производственного процесса «от поля- до тарелки», сохранение природных основ, достойные условия труда для фермеров, инвестирование и модернизация фермерских хозяйств, развитие сельской местности |
Тесное взаимодействие с международными организациями. Реализация безопасной продукции, защита потребителей от обмана, информирование общественности. Увеличение доли экопредприятий и производства экологически чистой продукции |
Мелкие фермерские хозяйства семейного типа – фермерские союзы, невысокая доля крупных предприятий |
Инвестирование и модернизация фермерских хозяйств, развитие инфраструктуры сельской местности, повышение качества и экологичности производимой продукции. |
|
Франция |
Комфортные природно-географические условия, максимальная индустриализация производства, использование технических новинок, новейшие химические удобрения, автоматизация рабочих процессов |
Экспорт сельхозпродукции, диверсификация рынков сбыта |
Создание множества мелких отраслей, кооперативная взаимосвязь малого бизнеса с крупными государственными предприятиями |
Тесное взаимодействие с международными организациями. Подверженность принципам продовольственной безопасности Европейского Союза и ООН
|
Крупные и малые предприятия, развитое кооперативное движение |
Усиление взаимосвязи предприятий аграрного сектора с государственными и крупными корпорациями, развитие кооперативного движения в отрасли, диверсифицирование рынков сбыта-закупки продукции |
|
Ирландия |
Высокая технологичность и инновационность производства, развитие селекции и геномики в отрасли |
Крупнейший экспортер мясомолочной продукции в Европе, экспорт селекционных материалов, импорт кормов, продуктов питания |
Высокая дотируемость отрасли государством. Рациональное и экологичное использование природных ресурсов |
Высокая экологичность и качество производимой продукции, контроль внешними аудиторами частных хозяйств |
Мелкие и небольшие фермерские хозяйства |
Развитие селекции в АПК, уделение внимания вопросам экологии про производстве сырья и продукции, что позволит повысить престиж национальной продукции на международном рынке, а также снизить издержки по восстановлению земельных, водных, лесных ресурсов. |

Рисунок 3. Схема перспективных направлений, а также существующих возможностей и ресурсов адаптации отдельных зарубежных практик обеспечения продовольственной безопасности к использованию на практике в Российской Федерации
Поддержка и стимулирование кооперативного движения в комплексе с таким направлением как использованием системы грантов и финансовых льгот для начинающих сельхозпроизводителей и оказанием помощи в использовании инновационных цифровых ресурсов может явиться неплохим подспорьем в качестве потенциальных источников производства сельскохозяйственной продукции, а также быть качественно новым движением в модернизации и создании ферм нового типа по примеру хозяйств развитых государств.
Такое направление как бережное и рациональное использование природных ресурсов должно контролироваться не только государственными надзорными органами, но и генерироваться в правосознании сельскохозяйственных производителей, как важное и неотъемлемое условие их функционирования, которое в долгосрочной перспективе будет работать как на их репутацию и имидж организации, так и снизит издержки по поиску либо восстановлению новых аграрных ресурсов, что будет являться важным шагом к интенсификации производства. Кроме того, данное направление является очень значимым аспектом для иностранных партнеров, которые заинтересованы в безопасности и экологичности получаемой продукции.
Заслуживают также внимания применение медиаресурсов активно развивающихся интернет-платформ, социальных сетей. Данные возможности могут быть активно использованы с целью продвижения отечественной продукции, а также для популяризации и масштабирования ряда национальных проектов, как в отдельных регионах, так и в масштабе всей страны.
1. Колесняк А.А. Продовольственное обеспечение: региональный аспект: моногр. - М.: Восход-А, 2007. - 220 с.
2. Балабанов В.С., Борисенко Е.Н. Продовольственная безопасность. Международные и внутренние аспекты. М.: УРСС, 2002. - 550 с.
3. Кондрат Е.Н., Петров П.А., Сальников М.В. Концепция национальной безопасности Поднебесной: традиционная и всеобъемлющая // Юридическая наука: история и современность. - 2017. - № 12. - С. 143-163.
4. Боброва Л. Б. Продовольственная безопасность Китая как отражение экономического роста страны // Апробация. - 2013. - N6 (9). - С. 41-43
5. Белова И.Н., Тихомирова В.А. Особенности обеспечения продовольственной безопасности КНР на современном этапе. Международная торговля и торговая политика. - 2019. - №2. - С. 6-24
6. Галицкая, Н. В. Продовольственная безопасность Китая / Н. В. Галицкая // Вестник Пермского института ФСИН России. - 2021. - № 3(42). - С. 108-115. - DOIhttps://doi.org/10.34988/2226-2326.2021.50.80.013. - EDN LDHTWH
7. Елагина, А. С. Эволюция подходов к обеспечению продовольственной безопасности Индии / А. С. Елагина, О. О. Смирнова // Экономика: вчера, сегодня, завтра. - 2017. - Т. 7, № 7B. - С. 189-199. - EDN NQBVPH.
8. Черняков, Б. А. Законодательные и административные основы продовольственной безопасности США: опыт для России / Б. А. Черняков // США и Канада: экономика, политика, культура. - 2010. - № 8(488). - С. 89-104. - EDN MUFHFZ
9. Хромов Ю. С. О внешних факторах продовольственной безопасности России // Пищевая промышленность. - 2002. - № 3. - С. 14-15
10. Кобец П.Н. Особенности и проблемы генезиса современного гражданского общества Японии // Гражданское общество в России и за рубежом. - 2019. - № 3. - С. 15-17.
11. Кравченко, А. А. Основные направления политики Японии в области обеспечения продовольственной безопасности / А. А. Кравченко // Азиатско-тихоокеанский регион: экономика, политика, право. - 2013. - Т. 15, № 2. - С. 55-66. - EDN RHHYMW
12. Кравченко, А. А. Состояние продовольственной безопасности Южной Кореи, Китая, Японии / А. А. Кравченко, О. О. Сергеева // Социально-экономические науки и гуманитарные исследования. - 2015. - № 7. - С. 32-39. - EDN UGVZUH.



