с 01.01.2019 по настоящее время
Южно-Российский государственный политехнический университет (НПИ) имени М.И. Платова (Общеинженерные дисциплины, профессор)
с 01.01.1980 по 01.01.2019
г. Москва и Московская область, Россия
Новочеркасск, Ростовская область, Россия
Россия
Санкт-Петербург, г. Санкт-Петербург и Ленинградская область, Россия
В статье рассмотрены методы по определению запыленности воздуха при производстве строительных материалов. Отмечены достоинства и недостатки таких методов как оптический и радиоизотопный. Для непрерывного контроля за концентрацией пылевого потока в вентиляционных системах выделен как перспективный акустический метод. Основанный на анализе акустического сигнала от взаимодействия движущихся пылевых частиц со стенкой воздуховода. Подробно проанализированы элементы этой информационной цепочки, ее особенности в частотной области и способы выделения полезной информации путем программной обработки на ЭВМ. Рассмотрены особенности акустического сигнала с использованием интеграла Фурье, для получения непрерывного спектра непериодического процесса, содержащего случайную составляющую. Полученные спектры Фурье позволяют осуществить возможность сравнения эффективности различных форм импульсов, так как они имеют важное значение при исследовании ударных процессов частиц пыли со стенкой воздуховода. Использование прямого интегрального преобразования Фурье позволяет выделить частотный спектр, состоящий из основных и тембровых гармоник. Учет тембровых гармоник спектра дает возможность получения достоверной информации о концентрации пылевого потока на предприятиях по производству строительных материалов.
строительные материалы, вентиляционные системы, акустический метод, особенности акустического сигнала, интеграл Фурье, частотный спектр, концентрация пылевого потока
Введение
При осуществлении мероприятий по снижению негативных последствий от наличия пыли в рабочей зоне при производстве строительных материалов применяются приборы контроля запыленности в вентиляционных системах. Разработка приборов пылевого контроля является сложной задачей, так как пыль имеет характеристики, изменяющиеся в широком диапазоне. В основе работы приборов контроля лежат различные методы контроля запылённости воздуха [1,2].
Существует несколько методов измерения пыли: оптический (фотометрический), гравиметрический, пьезобалансный, трибоэлектрический, радиоизотопный. К методам без выделения дисперсной фазы из аэрозоля относят фотоэлектрические, оптические, акустические, электрические [3].
Так, например если рассмотреть оптический метод измерения пыли (фотометрический и нефелометрический метод), то оптический принцип действия заключается в измерении ослабления интенсивности светового излучения при его прохождении через запыленную среду. Концентрация частиц пыли пропорциональна значению оптической плотности, которая определяется автоматически и представляет собой отрицательный десятичный логарифм коэффициента пропускания. Оптический метод обладает низкой чувствительностью, погрешностью от влияния физико-химических свойств аэрозолей связанной с частой калибровкой прибора, а также необходимостью периодической очистки оптических элементов.
Радиоизотопный метод измерения концентрации пыли основан на свойстве радиоактивного излучения (обычно β-излучения) поглощаться частицами пыли. Массу уловленной пыли определяют по степени ослабления радиоактивного излучения при прохождении его через слой накопленной пыли. Результаты измерения концентрации пыли радиоизотопным методом зависят в некоторой степени от химического и дисперсного состава, что обусловлено особенностью взаимодействия радиоактивного излучения с веществом и нелинейностью зависимости степени поглощения от толщины слоя поглотителя [4].
В настоящее время отечественные приборы, позволяющие производить измерение запыленности воздуха при производстве строительных материалов, имеют ряд недостатков, в частности, характеризуются высокой погрешностью измерений, что обуславливает актуальность модификации существующей приборной базы и разработку новых приборов, в основе которых могут быть заложены иные принципы [5,6].
Предложенный метод измерения концентрации пылевого потока, путем спектрального анализа акустических сигналов применен, с использованием дискретного быстрого преобразования Фурье. Установлено, в процессе анализа физического процесса передачи сигналов акустической эмиссии, что диагностический сигнал, представляет собой не собственные колебания частиц пыли при соударениях между собой и с вихрями, порождаемыми несущей средой, а представляет собой вынужденные колебания цепочки передачи сигналов АЭ. Подробно проанализированы элементы этой информационной цепочки, ее особенности в частотной области и способы выделения полезной информации путем программной обработки на ЭВМ. Установлено, что сигналы АЭ представляют исключительно, чувствительный механизм позволяющий идентифицировать источники генерации звукового сигнала и расшифровывать их по количественным и качественным признакам.
Объекты и методы исследования
Рассмотрим особенности акустических сигналов, применяемые для разработки новых принципов и приемов непрерывного контроля запыленности вентиляционного воздуха при производстве строительных материалов.
Основной формой акустического сигнала от технических вибраций упругих тел являются гармонические колебания [7]. В реальных условиях эта чистая форма вибраций встречается редко. Более распространены формы — полигармонические с непрерывным изменением частоты, которые возникают в реальных условиях, например, при разгоне и торможении механизмов. Для описания сложных акустических вибраций будем использовать методы комплексного интегрального преобразования Фурье или Лапласа, заключающиеся в том, что любую периодическую или продолженную периодически зависимость рассматривают как сумму ряда гармонических колебаний (гармоник) с кратными частотами. Чем больше гармоник, тем лучше приближение к аппроксимируемому аудиосигналу.
Параметрами описания механических вибраций являются перемещения, скорости, ускорения, силы, мощности.
Параметрам крутящих вибраций являются углы поворота, угловая скорость, моменты сил, а также фазы, частоты, коэффициенты нелинейных искажений.
При исследовании полигармонических сигналов целесообразно использовать величины, непосредственно связанные с энергосодержанием колебаний. В большинстве случаев, используя интеграл Фурье, можно получить непрерывный спектр непериодического процесса, содержащий случайную составляющую. Его можно в любой момент времени определить усреднением вероятностных характеристик по множеству выборочных отсчетов, взятых из генеральной совокупности (временного ряда).
Результаты исследований
Среднее значение стационарного случайного процесса постоянно, а его автокорреляционная функция зависит от интервала времени, разделяющего любые два “сечения” процесса. Случайный процесс удобно рассматривать в виде суммы двух вероятностных составляющих — статической и динамической.
Статистическая составляющая
определяется как среднее интегральное (в смысле Римана-Стилтьеса) отчетов временного ряда равное [8]:

Динамическую составляющую определяют по дисперсии процесса
которая характеризует рассеяние возможных реализаций случайной функции
относительно среднего значения [8]:

Дисперсия по своему физическому смыслу представляет мощность переменных составляющих случайного процесса. Дисперсия характеризует рассеяние в квадратичной мере. Поэтому пользуются среднеквадратичным отклонением [8] для оценки мощности сигнала:
![]()
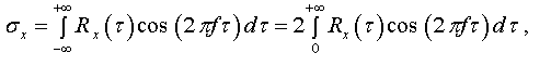
Для характеристики случайного процесса в целом пользуются понятиями спектральной плотности мощности или спектра мощности. Спектральная плотность мощности стационарного эргодического случайного процесса, представляющую собой среднюю мощность процесса, приходящуюся на единицу ширины частотной полосы. Распределение средней мощности процесса по частоте называют спектром мощности или энергетическим спектром.
Спектральная плотность мощности стационарного случайного процесса
связана и с автокорреляционной функцией
этого процесса через преобразование Фурье [8]:

где
— полоса частот;
— время распределения.
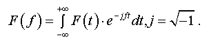
Автокорреляционная функция может быть выражена через спектральную плотность мощности с помощью обратного преобразования Фурье [8]:

При установлении законов для мгновенных значений случайного процесса используют понятие функции распределения вероятностей (интегральный закон распределения) и плотность распределения вероятностей случайного процесса (производная от функции распределения). Характер распределения вероятностей случайного процесса и вид кривой плотности распределения служат признаками классификации случайного процесса.
Важное значение при исследовании ударных процессов имеет форма импульса, а спектры Фурье обеспечивают возможность сравнения эффективности различных форм импульсов. Определение частотной функции распределения
может быть получено прямым интегральным преобразованием Фурье
в виде [8,9]:

Процессы, которые связаны с переносом массы, как дискретной, так и континуальной, а также тепловой энергии описываются с использованием высших (тембровых) составляющих спектра. Учет тембровых составляющих спектра позволяет повысить точность и достоверность информации о контролируемом объекте и особенностях протекания исследуемого физического процесса.
Для более обоснованного подхода к разработке акустической спектрально-тембровой методики необходим анализ форм акустических сигналов, описания различного рода частотных распределений гибкой системой математических аппроксимирующих зависимостей [10,11].
Выводы
Результаты, полученные в процессе обработки акустического сигнала от движущегося пылевого облака в вентиляционных системах образуют основы предложенного спектрально-тембрового метода в пылеметрии и могут легко уточняться путем совершенствования программного обеспечения. Метод открывает практически неограниченные возможности по улучшению метрологичности пылемерного комплекса, сохраняя неизменным инструментальное обеспечение.
Необходимо продолжить работу по совершенствованию инструментального и программного обеспечения измерительного комплекса с целью расширения анализа пылевого потока на условия в производственных помещениях, что является важной задачей охраны труда.
1. Куликова Е. Ю. Оценка современных мероприятий инженерной защиты атмосферы в коммунальном подземном строительстве // Горный информационно-аналитический бюллетень (научно-технический журнал). 2002. № 1 С. 34-40.
2. О.В.Чекмарева, О.С. Ишанова, А.И. Байтелова Методы оценки источников загрязнения окружающей среды. Методические указания. - Оренбургский гос. ун-т. - Оренбург: ОГУ, 2019. - 33 с
3. Фролов А.В., Лепихова В.А., Ляшенко Н.В., Шевченко Н.С. Безопасность жизнедеятельности и охрана труда в строительстве. Учебник для вузов / Под общей ред. А.В. Фролова. Москва, 2018. - 586 с.
4. Акустические пылемеры [Электронный ресурс] - 2020 - URL: https://vuzlit.ru/1889546/akusticheskie_pylemery (дата обращения - 05.01.2022)
5. Бондаренко В.А., Евтушенко С.И., Лепихова В.А., Чибинев Н.Н., Версилов С.О., Фирсов В.В. Безопасность жизнедеятельности. Практикум - Учебное пособие / Москва, 2019. - 150 с.
6. Бобков В.П., Грибанов Ю.И. Статистическое измерение в турбулентных потоках. (Физика и техника ядерных реакторов, Вып.36). М.: Энергоатомиздат, 1988. 168 с.
7. Бендат Дж., Пирсол А. Измерение и анализ случайных процессов / Пер. с англ. - М.: Мир, 1974. - 463с.
8. Корн Г., Корн Т. Справочник по математике для научных работников и инженеров. - М.: Наука, 1968. - 720с.
9. Ахмед Н., Рао К.Р. Ортогональные преобразования при обработке цифровых сигналов. - М.: Связь, 1980. - 248 с.
10. Пат.2222807 РФ, МПК G01 N 29/02. Способ обработки сигналов акустической эмиссии генерируемых дисперсных систем / Пуресев А.И. Торопов О.А.Малых Е.А. Сорокин Н.П. - Заявл. 12.02.01; Опубл. 27.01.04, Бюл.
11. Evtushenko S.I., Lepikhova V.A., Lyashenko N.V., Skrinnikov E.V. Identification of soils, grounds and lands strata using the acoustic spectral analysis // IOP Conference Series: Materials Science and Engineering. Construction and Architecture: Theory and Practice of Innovative Development" (CATPID-2020). 2020. С. 052043.




