Новочеркасск, Ростовская область, Россия
Новочеркасск, Ростовская область, Россия
Выполнен анализ и оценка возможности вариантов размещения свай, при которых учитывались различные комбинации загружения фундамента на примере возведения жилого дома при проектировании и расчете которого значительные запас прочности наиболее загруженной сваи и разница усилий между наиболее и наименее загруженными сваями, о чем свидетельствует значение средней нагрузки, приходящееся на одну сваю, которая почти в два раза меньше допустимого значения, свидетельствуют о недостаточном использовании несущей способности сваи в составе фундамента. В результате корректировки проекта удалось уменьшить количество свай и достигнуть значительной экономии стоимости СМР.
сваи, комбинации загружения фундамента
Согласно п.8.7 [1], число свай в фундаменте и их размеры следует назначать из условия максимального использования прочности материала свай и грунтов основания при расчетной нагрузке, допускаемой на сваю, с учетом допустимых перегрузок крайних свай в фундаменте. Для этого при размещении свай в плане необходимо стремиться к минимальному числу их в свайных кустах или к максимально возможному шагу свай в лентах, добиваясь наибольшего использования принятой в проекте несущей способности свай. Этапы проектирования свайных фундаментов изложены в 6 главе справочника геотехника [2].
Однако, добиться наибольшего использования несущей способности сваи в составе фундамента, в реальном проектировании, при отсутствии оговоренных критериев, представляется сложной, трудно формализуемой задачей.
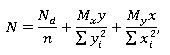
Очевидно, при лучшем распределение свай в плане нагрузка, действующая на фундамент Nd должна равномерно распределиться на сваи, т.е. каждая свая должна воспринимать примерно одинаковое усилие, а расчетная нагрузка на сваю стремиться к допустимой определяемой по формуле 7.2 [1]. ![]()
Для центрально нагруженных кустовых задача практически однозначна и сводится к размещению свай в кусте на минимально допустимом расстоянии при количестве свай n≈Nd/N.
Для внецентренно нагруженного фундамента, согласно п.8.7 [1], сваи следует размещать таким образом, чтобы равнодействующая постоянных нагрузок, действующих на фундамент, проходила возможно ближе к центру тяжести плана свай, т.е. возникает значительное количество вариантов размещения свай, при которых приходится учитывать в том числе и различные комбинации загружения фундамента.
Для фундаментов с жестким ростверком, в которых расчетную нагрузку на сваи, допускается определять по формуле:

а также с учетом того, что максимальная нагрузка на сваю не должна превышать 1,2N, меняя геометрию сваи, т.е. ее несущую способность, можно добиться варианта, при котором разница между максимально и минимально загруженными сваями будет минимальна, а среднеарифметическое усилий на сваю стремиться к величине допустимой нагрузки.
Эту задачу на наш взгляд, при относительно однородном основании и отсутствии особых грунтовых условий, можно дополнительно упростить допустив применение в одном кусте свай с различной несущей способностью, т.е. с разной геометрией (длина размеры поперечного сечения).
Еще сложнее обстоит дело с размещением свай в плитно-свайных фундаментах, где сваи под плитным ростверком размещают, либо по определенной сетке, либо в зонах опирания на ростверк надземных несущих конструкций (стен, колон), при этом в действующих нормативных документа существуют всего два ограничения: 1) расстояние между сваями должны быть не меньше допустимого значения; 2) усилия в сваях не превышать допустимой нагрузки при любых комбинациях загружения.
Для указанных условиях, очевидно, существует значительное множество возможных вариантов компоновки свайного поля, из которых лучшим будет вариант с наименьшим количеством свай.
Теоретически такой вариант существует, только расстояния между сваями в нем будут переменными.
Поскольку определение усилий в сваях является статически неопределимой задачей, ее решение возможно лишь с применением специализированных программ, в которых, тем не менее, формирование свайного поля осуществляется конструктором вручную, поэтому формирование приемлемого варианта свайного поля осуществляется в несколько итераций, в процессе которых, на основании ранее полученных результатов, изменяется количество свай (чаще в сторону увеличения) и их положение.
Процесс обычно прекращают, когда нагрузка на наиболее нагруженные сваи для всех комбинаций усилий не превышает допустимого значения, при этом в большинстве случаев значительная часть свай остаются недогруженными, т.е. не в полной мере используются прочности материала свай и грунтов основания.
В данной области исследованиями занимались следующие ученные Дыба В.П., Евтушенко С.И., Бартоломей А.А., Омельчак И.М., Юшков Б.С., Мангушев Р.А., Знаменский В.В., Готман А.Л., Пономарев А.Б., Скибин Е.Г., Матвиенко М.П. [3, 4, 5, 6, 7, 8, 9, 10, 11, 12, 13, 14, 15]
Достижение значительного экономического эффекта, заключающегося в экономии материально технических ресурсов без потери запаса прочности для наиболее загруженных свай, возможно за счет разработки следующих методов:
- метода расчета осадки внецентренно нагруженного кустового свайного фундамента с применением эмпирических коэффициентов взаимовлияния свай;
- метода расчета осадки внецентренно нагруженного кустового свайного фундамента методом условного фундамента, глубина заложения и размеры подошвы которого получены на основании экспериментальных данных и данных численного моделирования;
-разработка алгоритма проектирования внецентренно нагруженного кустового свайного фундамента с максимальным использованием несущей способности свай в составе свайного куста.
В качестве примера рассмотрим корректировку проектной документации на возведение 17-ти этажного жилого дома в Восточно-Кругликовском микрорайоне г. Краснодара в части изменения компоновки свайного поля.
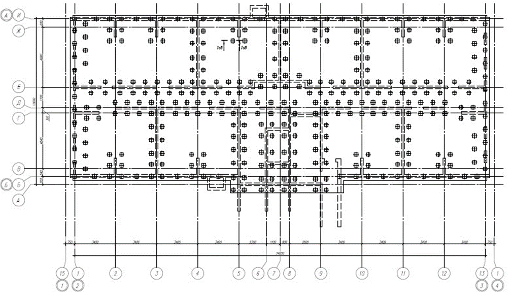
Здание представляет собой семнадцатиэтажное строение с подвалом с монолитными железобетонными стенами и перекрытиями, фундаментами служит плитно-свайный фундамент с ростверком толщиной 700 мм объединяющий 346 16-ти метровых забивных свай сечением 300х300 мм (см. рис. 2), допустимая нагрузка на сваю по данным динамических испытаний составляет 1101,3 кН (110,1 т).
По данным технического отчета об инженерно-геологических изысканиях под острием свай залегают грунты ИГЭ16 - Песок средней крупности, насыщенный водой со следующими характеристиками γн=20,8кН/м3, φн=36°, Ее=38мПа. Геологический разрез площадки приведен на рис. 1.
По данным представленного проектной организацией расчета, нагрузка на наиболее нагруженную сваю при самом неблагоприятной комбинации нагружений составила 845 кН (84,5 т).
Фактический запас прочности наиболее загруженной сваи в исходном проекте составляет около 23 %.

Рис. 1 Инженерно-геологический разрез.

Рис. 2 Положение свай до корректировки проекта.

Рис. 3 Положение свай после корректировки проекта.
Суммарное вертикальное усилие, действующее в уровне низа плитного ростверка, от действия постоянных и временных нагрузок, составляет ΣPz = 187115кН (18711,5 т), тогда в проектном решении, средняя нагрузка на одну сваю составляет Nср=187115/346=541 кН(54,1т), запас прочности по отношению к допустимой нагрузке составляет более 50 %.
Значительные запас прочности наиболее загруженной сваи и разница усилий между наиболее и наименее загруженными сваями, о чем свидетельствует значение средней нагрузки, приходящееся на одну сваю, которая почти в два раза меньше допустимого значения, свидетельствуют о недостаточном использовании несущей способности сваи в составе фундамента. На основании сказанного принято решение о корректировке проекта с целью уменьшения количества свай и снижения стоимости. Корректировка выполнена с учетом первоначальной концепции размещения свай в зоне несущих конструкций путем уменьшения свай на менее загруженных участках. Схема расположения свай после корректировки проекта приведена на рисунке 3.
В результате корректировки удалось уменьшить количество свай до 289 штук, при этом максимальная нагрузка на наиболее нагруженную сваю выросла до 1101 кН (110,1 т), а средне усилие на одну сваю составило 647 кН (64,7 т), соответственно запас прочности для наиболее загруженной сваи сократился до 2%, а для средней нагрузки на сваю - до 42%. Таким образом, экономия 16-ти метровых свай только на одной секции 4-х секционного жило дома составила 57 штук, общей стоимостью около 16 млн. рублей.
1. СП 24.13330.2021 СНиП 2.02.03-85 Свайные фундаменты
2. Справочник геотехника. Основания, фундаменты и подземные сооружения / [Ильичев Вячеслав Александрович и др.]; под общ. ред. В. А. Ильичева и Р. А. Мангушева ; Российская акад. архитектуры и строит. наук, Российское о-во по механике грунтов, геотехнике и фундаментостроению. - 2-е изд., доп. и перераб. - Москва: Изд-во Ассоц. строит. вузов, 2016. - 1024. ISBN 978-5-4323-0191-8
3. Бартоломей А.А., Омельчак И.М., Юшков Б.С. Прогноз осадок свайных фундаментов. - М.: Стройиздат, 1994. - 384 с. ISBN 5-274-01174-8
4. Сваи и свайные фундаменты. Конструкции, проектирование и технологии / Р.А. Мангушев, В.В. Знаменский, А.Л. Готман, А.Б. Пономарев. - 2-е изд. - М.: Изд-во АСВ, 2018. - 320 с. ISBN 978-5-4323-0099-7.
5. Вариантное проектирование свайных фундаментов / Скибин Г.М.-Исследования и разработки по компьютерному проектированию фундаментов и оснований: межвуз. сб. ин-т-Новочеркасск6 НПИ. 1990-С.56-62. ISBN 5-230-11418-5
6. Skibin, G.M. Investigation of particularities of the stress-strain state of the sandy basis under loading conditions of rough stamps (2021) Journal of Physics: Conference Series, . DOI:https://doi.org/10.1088/1742-6596/1928/1/012065
7. Евтушенко С.И., Скибин Г.М., Чутченко С.Г Несущая способность моделей фундаментов на песчаном основании. /Строительство и архитектура. 2019. Т. 7. № 1. С. 14-19. DOI:https://doi.org/10.29039/article_5c646f1a42d499.31185907
8. Матвиенко М.П., Дыба В.П., Юханаев С.М. Лотковые испытания моделей железобетонных фундаментов в Новочеркасской научной школе и расчет их несущей способности. В сборнике: Информационные технологии в обследовании эксплуатируемых зданий и сооружений. Материалы 18-ой Международной научно-практической конференции. 2019. С. 173-179. ISBN: 978-5-907158-57-3
9. Bokov I.A., Fedorovsky V.G. ON THE CALCULATION OF THE SETTLEMENT OF PILE FOUNDATIONS INCLUDING ONES CONTAINING PILES OF VARIOUS LENGTHS BY THE INTERACTION FACTORS METHODВ сборнике: 17th European Conference on Soil Mechanics and Geotechnical Engineering, ECSMGE 2019 - Proceedings. 17, Geotechnical Engineering, Foundation of the Future. 2019. DOI:https://doi.org/10.32075/17ECSMGE-2019-0559
10. Dyba V.P., Skibin E.G. EVALUATION OF BEARING CAPACITY OF DRIVEN PILES, BASED ON THE RESULTS OF SOLUTION OF THE CYLINDRICAL CAVITY EXPANSION PROBLEM /Soil Mechanics and Foundation Engineering. 2017. Т. 53. № 6. С. 381-384. DOI:https://doi.org/10.1007/s11204-017-9416-x
11. Gotman A.L., Gavrikov M.D. VERTICAL-LOAD DESIGN OF A LARGE-SIZE BORED PILEВ сборнике: Journal of Physics: Conference Series. 2. Сер. "Deep Foundations and Geotechnical Problems of Territories, DFGC 2021" 2021. С. 012061. DOIhttps://doi.org/10.15593/2224-9826/2021.3.08
12. Готман А.Л., Гавриков М.Д.ИССЛЕДОВАНИЕ ОСОБЕННОСТЕЙ РАБОТЫ ВЕРТИКАЛЬНО НАГРУЖЕННЫХ ДЛИННОМЕРНЫХ БУРОНАБИВНЫХ СВАЙ И ИХ РАСЧЕТConstruction and Geotechnics. 2021. Т. 12. № 3. С. 72-83. DOI:https://doi.org/10.15593/2224-9826/2021.3.08
13. Готман А.Л.РАСЧЕТ СВАЙ И СВАЙНЫХ ФУНДАМЕНТОВ НА ГОРИЗОНТАЛЬНУЮ НАГРУЗКУ учебное пособие / Москва, 2020. ISBN 978-5-4323-0369-1.
14. Готман А.Л. CВАЙНЫЕ ФУНДАМЕНТЫ - ЭФФЕКТИВНО РАЗВИВАЮЩЕЕСЯ НАПРАВЛЕНИЕ. В ФУНДАМЕНТОСТРОЕНИИ Основания, фундаменты и механика грунтов. 2020. № 3. С. 2-10. ISSN: 0030-6223
15. Ofrikhter I.V., Ponomarev A.B. ESTIMATION OF LOAD-SET BEHAVIOR OF DRIVEN CONCRETE PILES USING ARTIFICIAL NEURAL NETWORK AND CONE PENETRATION TEST В сборнике: Journal of Physics: Conference Series. 2. Сер. "Deep Foundations and Geotechnical Problems of Territories, DFGC 2021" 2021. С. 012055. DOI:https://doi.org/10.1088/1742-6596/1928/1/012036




