Россия
Россия
ВАК 08.00.05 Экономика и управление народным хозяйством (по отраслям и сферам деятельности, в том числе: экономика, организация и управление предприятиями, отраслями, комплексами; управление инновациями; региональная экономика; логистика; экономика труда; экономика народонаселения и демография; экономика природопользования; экономика предпринимательства; маркетинг; менеджмент; ценообразование; экономическая безопасность; стандартизация и управление качеством продукции; землеустройство; рекреация и туризм)
ВАК 08.00.10 Финансы, денежное обращение и кредит
ВАК 08.00.12 Бухгалтерский учет, статистика
ВАК 08.00.13 Математические и инструментальные методы экономики
ВАК 08.00.14 Мировая экономика
УДК 33 Экономика. Народное хозяйство. Экономические науки
УДК 332 Региональная (территориальная) экономика. Земельный (аграрный) вопрос. Жилищное хозяйство
УДК 332.1 Региональная экономика. Территориальная экономика
ББК 6523 Планирование. Экономическое прогнозирование
В статье рассматривается терминология «цифровая экономика» в трудах зарубежных и отечественных авторов дано авторское определение экономической безопасности в свете цифровой экономики, определены экономические и цифровые индикаторы и указаны их пороговые уровни, выделены зоны риска экономической безопасности через нормирование индикаторов.
цифровая экономика, экономическая безопасность, индикаторы, пороговые уровни, оценка, выделение зон рисков
Введение.
Решение многих современных экономических и социальных проблем зависит от устойчивого развития и экономической безопасности государства. В результате макроэкономической стабилизации повышается качество жизни и уровень благосостояния населения страны. Одним из критериев стабилизации развития выступают цифровые технологии, представленные Интернетом, большими данными, искусственным интеллектом, позволяющие ускорить ориентацию отраслей на высокотехнологичный бизнес, стимулировать инновации во всех сферах экономики и общества и обеспечить людей в доступе к качественным услугам.
Цифровая экономика может оказать положительное влияние на экономический рост через проведение структурной перестройки экономики, повышению знаний и уровня занятости населения.
В экономической литературе отсутствует согласованное понятие «цифровая экономика». В зарубежной литературе цифровая экономика выражается как:
– использование оцифрованной информации и знаний в качестве ключевого фактора производства [19];
– сочетание технологий и определенных видов общественно-экономической деятельности, осуществляемых с помощью цифровых технологий [17];
– преобразование всех секторов экономики по компьютерной оцифровке информации [18];
– экономика, основанная на цифровизации услуг и продуктов, будь то онлайн-продажи, образование или информационные услуги [20];
В отечественной литературе понятие цифровой экономики сводится к следующему:
– система производственных, экономических, социальных и культурных отношений, основанная на использовании цифровых технологий, формирующих все процессы, превращая их в логистические схемы» [2];
– коммуникационная среда экономической деятельности в сети Интернет, а также формы, методы, инструменты и результаты ее реализации [7];
– тип экономики, характеризующийся активным внедрением и практическим использованием цифровых технологий сбора, хранения, обработки, преобразования и передачи информации во всех сферах человеческой деятельности [3].
В отношении хозяйствующих субъектов есть нормативное определение цифровой экономики, выраженное в Стратегии развития информационного общества в Российской Федерации на 2017 - 2030 годы:
– хозяйственная деятельность, в которой ключевым фактором производства являются данные в цифровом виде, обработка больших объемов и использование результатов анализа которых по сравнению с традиционными формами хозяйствования позволяют существенно повысить эффективность различных видов производства, технологий, оборудования, хранения, продажи, доставки товаров и услуг [9].
В целом отмечается, что цифровая экономика основана на цифровизации и использовании цифровых технологий в целях развития экономической и человеческой деятельности.
Рассматривая вопросы цифровой экономики в современной научной литературе, остается неясной связь между цифровой экономикой и экономической безопасностью. Эти вопросы требуют дальнейшего изучения учитывая то, что более 30 стран ввели санкции против российской экономики, что привело к сокращению импорта высокотехнологичной продукции, ограничению финансовых ресурсов, прекращению деятельности сотен иностранных кампаний на российском рынке. Санкции могут поставить под угрозу планы по реализации национального проекта «Цифровая экономика Российской Федерации», направленного на ускоренное внедрение цифровых технологий в экономике и социальной сфере, создание условий для высокотехнологичного бизнеса, повышение конкурентоспособность страны на глобальном рынке, укрепление национальной безопасности и повышение качества жизни людей» [8].
Преимущества и возможности цифровой экономики не вызывают сомнений в развитии экономических процессов в стране. Но, учитывая санкционную политику запада, трудно предположить, что цифровая экономика в нашей стране не будет сталкиваться с рисками и угрозами, и это обстоятельство выводит вопрос в область экономической безопасности.
Проблемы и вызовы цифровой экономики отражены Распоряжение Правительства Российской Федерации «Стратегическое направление в области цифровой трансформации государственного управления». К стратегическим вызовам в документе относятся:
– отсутствие нормативного правового регулирования, которое может блокировать автоматизированный сбор социально-экономических показателей;
– неготовность в срок автоматизированных средств агрегации и обработки сведений (данных), полученных дистанционным путем в режиме реального времени;
– недостаточный уровень цифровых компетенций у сотрудников органов государственной власти и органов местного самоуправления, отсутствие заинтересованности в переводе взаимодействия в электронный вид у всех участников такого взаимодействия;
– наличие зависимости от поставок аппаратной части от зарубежных поставщиков и сопутствующих этому рисков в области информационной безопасности [13].
Кроме этого риски и угрозы цифровой экономики в сочетании с экономическим развитием рассмотрены в трудах Графовой Т.О., Шаповалова А.Ф. [4], Гудковой О.В., [5] Зверевой Т.В. [6], Халина В.Г., Черновой Г.В. [14], Эскиндаровa М.А., Масленникова В.В., Масленникова О.В. [16] и других ученых [1,10,11,21].
Метод.
Если рассматривать региональное развитие, то экономическую безопасность региона в свете цифровой экономики можно определить, как совокупность условий и факторов, обеспечивающих защищенность цифровой сферы региона от разного рода внешних и внутренних угроз на основе передовых информационно-коммуникационных технологий, интеллектуальных программ и инноваций.
Для оценки экономической безопасности, всегда используются пороговые значения, которые чаще всего определяются экспертными оценками. В настоящее время нет единой точки зрения для формирования пороговых значений показателей в сфере экономического и цифрового развития. Ученые придерживаются разных взглядов по использованию пороговых значений: от использования одного порогового уровня до многопороговых уровней индикаторов оценки. В первом случае возможны только два критерия оценки состояния экономической безопасности: нормальное состояние и отклонение в сторону возникновения рисков и угроз экономической безопасности, во втором по каждому из индикаторов вводится ряд пороговых уровней, начиная от трех, и каждый критический уровень описывается своим состоянием, начиная от идеального, заканчивая большим количеством вызовов и угроз состоянию экономической безопасности региона и страны в целом. Чаще всего для анализа и оценки состояния экономической безопасности используется вариант одного порогового значения, что принято для оценки экономической безопасности в цифровой среде в настоящей статьей.
Для оценки зон рисков экономической безопасности экономического и цифрового развития была использована методика, предложенная группой ученых под руководством В.К. Сенчагова, для чего индикаторы были разделены на 2 группы:
– экономические индикаторы,
– индикаторы состояния развития цифровой экономики.
Основу методики составляют 4 пункта:
1. Выбор индикаторов экономической безопасности региона.
2. Сравнение фактических значений индикаторов с пороговыми значениями.
3. Нормирование индикаторов.
4. Выделение зоны риска по каждому индикатору [15].
Сравнение пороговых уровней индикаторов с фактическими значениями позволяет установить невыполнение ряда индикаторов. Нормирование индикаторов производится для того, чтобы привести их к одной размерности. Принимается условие, что представленные индикаторы должны быть «не менее» либо «не более» своих пороговых значений.
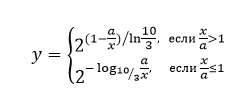
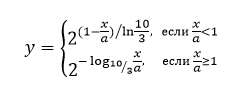
Для этого авторы методики предлагают нормирующую функцию для соотношения типа «не менее»

где x – реальное значение индикатора; a – его пороговое значение;
и нормирующую функцию для соотношения типа «не более»

Нормированные показатели показывают зону риска, при этом выделяют:
- зону «стабильности» − если нормированный показатель превышает 1;
- зону «умеренного риска» – при нормированном показателе в пределах 0,75-1;
- зону «значительного риска» – при нормированном показателе в пределах 0,50-0,75;
- зону «критического риска» – при нормированном показателе в пределах 0,25-0,5;
- зону «катастрофического риска» – при нормированном показателе ниже 0,25.
Результаты.
Группировка индикаторов по Республике Марий Эл приведена в таблице 1. За пороговые значения приняты показатели по Приволжскому федеральному округу.
Таблица 1
Индикаторы экономической безопасности в цифровой среде по Республике Марий Эл

Результаты нормирования индикаторов по выше представленным моделям за 2021 год приведены на рисунках 1 и 2.

Рис. 1. Нормирование экономических индикаторов экономической безопасности

Рис. 2. Нормирование цифровых индикаторов экономической безопасности
Нормирование индикаторов экономического и цифрового развития позволяет выделить зоны риска экономической безопасности в Республике Марий Эл (табл. 2).
Таблица 2
Зоны риска экономической безопасности экономического и цифрового развития Республики Марий Эл

Результаты расчетов показывают, что индикаторы экономической безопасности в сфере цифровой экономики (за исключением двух) на данный момент времени не достигли зоны стабильности, но в тоже время большинство показателей находится в зоне умеренного риска, что благоприятно характеризует ситуацию в цифровой среде в республике в 2021 году.
1. Астраханцева Е.А. Влияние договорных отношений на экономическую безопасность предприятия // В сборнике: Актуальные научные исследования: экономика, управление, образование и финансы. Сборник научных трудов Международной научно-практической конференции. 2017. С. 3-5
2. Борисюк, Н.К. Цифровая экономика: определение и содержание [Электронный ресурс] / Н.К. Борисюк, О.С. Смотрина // Университетский комплекс как региональный центр образования, науки и культуры: Материалы Всероссийской научно-методической конференции; Оренбург. гос. ун-т. - Оренбург: ОГУ, 2018. - С. 1378-1384.
3. Василенко, Н.В. Становление экономики нового типа: взаимообусловленность ее цифровизации и сервизации / Н.В. Василенко, К.В. Кудрявцева // Цифровая трансформация экономики и промышленности: проблемы и перспективы: монография / Под редакцией А.В. Бабкина. - Санкт-Петербург, 2017. - С. 67-91.
4. Графова Т.О., Шаповалов А.Ф. Риски и угрозы экономической безопасности в цифровой экономике // Азимут научных исследований: экономика и управление. - 2020. - Т. 9. - № 1(30). С. 382-386.
5. Гудкова О.В. Риски и угрозы экономической безопасности России в условиях цифровизации экономики // Ивэкофин. - 2022. -№ 1(51). - С. 73-80.
6. Зверева Т. В. Экономические риски цифровой экономики // Проблемы анализа риска, том 14, 2017, № 6. С. 22-29.
7. Калужский М. Л. Маркетинговые сети в электронной коммерции: институциональный подход / М.Л. Калужский. - М.: Берлин: Директ-Медиа. - 2014. - 402 с
8. Национальный проект «Цифровая экономика» / https://xn--80aapampemcchfmo7a3c9ehj.xn--p1ai/projects/tsifrovaya-ekonomika
9. О Стратегии развития информационного общества в Российской Федерации на 2017 - 2030 годы. Указ Президента РФ от 9 мая 2017 г. № 203.
10. Поздеев В.Л. Прогнозирование в системе обеспечения экономической безопасности // Инновационное развитие экономики. 2021. № 4 (64). С. 276-282
11. Поздеев В.Л., Царегородцев И.С. Об инвестиционной стратегии в целях региональной экономической безопасности // Инновационное развитие экономики. 2021. № 5 (65). С. 227-234
12. Республика Марий Эл в цифрах: Крат. стат. сб./Маристат - Йошкар-Ола, 2022 - 364 с.
13. Стратегическое направление в области цифровой трансформации государственного управления. Распоряжение Правительства Российской Федерации от 22.10.2021 г. № 2998-р.
14. Халин В.Г. Чернова Г.В. Цифровизация и ее влияние на российскую экономику и общество: преимущества, вызовы, угрозы и риски // Управленческое консультирование. - 2018. - №10. - С. 46-63.
15. Экономическая безопасность регионов России: монография / под ред. В.К. Сенчагова. - Н. Новгород: Растр-НН, 2014. - 299 с.
16. Эскиндаров М.А., Масленников В.В., Масленников О.В. Риски и шансы цифровой экономики в России // Финансы: теория и практика. - 2019. - т. 23. -№ 5. - С. 6-17.
17. Brynjolfsson, E. & Kahin, B. (eds) 2000a. Understanding the Digital Economy: Data, Tools, and Research, MIT Press, Cambridge, MA.
18. Dahlman C., Mealy S., Wermelinger M. (2016) Harnessing the Digital Economy for Developing Countries. Paris: OECD. URL: http://www.oecdilibrary.org/docserver/download/4adffb24-en.pdf
19. G20. Digital Economy Development and Cooperation Initiative. Available online at: http://www.g20chn.org/English/Documents/Current/ 201609/P020160908736971932404.pdf
20. Margherio, L., Henry, D., Cooke, S., & Montes, S. (1999). The Emerging Digital Economy. Department of Commerce.
21. Pozdeev V.L., Azarskaja M.A., Astrakhanceva E.A., Bezvidnaja O.S. Balancing sales and safety: a methodological approach to economic security analysis of enterprises // Journal of Engineering and Applied Sciences. 2017. Т. 12. № 19. С. 4974-4978.



