Рязань, Рязанская область, Россия
с 01.01.2020 по 01.01.2020
Рязань, Рязанская область, Россия
ВАК 08.00.05 Экономика и управление народным хозяйством (по отраслям и сферам деятельности, в том числе: экономика, организация и управление предприятиями, отраслями, комплексами; управление инновациями; региональная экономика; логистика; экономика труда; экономика народонаселения и демография; экономика природопользования; экономика предпринимательства; маркетинг; менеджмент; ценообразование; экономическая безопасность; стандартизация и управление качеством продукции; землеустройство; рекреация и туризм)
ВАК 08.00.10 Финансы, денежное обращение и кредит
ВАК 08.00.12 Бухгалтерский учет, статистика
ВАК 08.00.13 Математические и инструментальные методы экономики
ВАК 08.00.14 Мировая экономика
УДК 2 Библиотечное дело. Библиотековедение
УДК 33 Экономика. Экономические науки
ГРНТИ 06.01 Общие вопросы экономических наук
ОКСО 38.06.01 Экономика
ОКСО 38.07.02 Экономическая бехопасность
ББК 6501 Общая экономическая теория
BISAC BUS036000 Investments & Securities / General
В статье обоснован и графически представлен комплекс противоречий, определяющих современную диалектику развития сектора нелегальной деятельности на финансовом рынке. Систематизирован комплекс факторов влияния на развитие сектора нелегальной деятельности на финансовом рынке. Разработана система показателей-факторов, определяющих (характеризующих) развитие сектора нелегальной деятельности на финансовом рынке.
Банк России, финансовый рынок, нелегальная деятельность, противодействие
Деятельность организаций и публичных проектов, которая характеризуется нелегальным характером и недобросовестностью применяемых практик (далее – нелегальная деятельность), является массовым социально-экономическим явлением. Данное явление отрицательно влияет на развитие финансового рынка, снижая его возможности по аккумулированию средств потенциальных участников, а также снижает уровень доверия населения и организаций к финансовым институтам, которые полностью соблюдают требования законодательства и ответственно выполняют свои обязательства.
Наиболее распространенной разновидностью организаций, осуществляющих нелегальную деятельность на финансовом рынке являются так называемые финансовые пирамиды. В научной литературе достаточно подробно описаны схемы создания и функционирования такого рода организаций. В данном случае следует отметить работы Павловой Д.А. [1], Зубаревой А.М. [2], Назаровой Н.Л. и Семенченко О.Д. [3], Князевой И.Г. и Окунева Д.О. [4] Существенными являются наработки по бухгалтерской судебной экспертизе по делам о совершении данного вида преступлений [5]. Начиная со второй половины 2010-х г.г. получило широкое распространение мошенничество с использованием средств мобильной связи, что в значительной мере связано с расширением числа пользователей пластиковых дебетовых банковских карт, а также пользователей онлайн банковских услуг. Изучение данной проблематики получило развитие в работах Кулева В.К., Папшевой Е.В., Старинского А.Ю. и Сугробовой К.С. [6], Гилязова Р.Р. [7], Михалёва А.В. [8], Барабанова В.С. [9], Шаеховой А.Ф. [11] и Шашло Н.В. [11] Несмотря на существенное внимание, которое уделяется вопросам противодействия недобросовестным практикам и нелегальной деятельности на финансовом рынке, комплекс вопросов, связанных с деятельностью Банка России по снижению уровня криминализации анализируемых общественных отношений не получил значительного развития в научной периодической литературе. Банк России является основным регулятором на национальном финансовом рынке. Реализация данных функций в значительной степени также связана с пресечением нелегальной деятельности в исследуемой сфере. В современных условиях актуальной задачей становится оценка эффективности мероприятий, осуществляемых территориальными подразделениями Банка России, по противодействию недобросовестным практикам и нелегальной деятельности на финансовом рынке.
Мероприятия, осуществляемые территориальными подразделениями Банка России, по противодействию нелегальной деятельности на финансовом рынке связана, прежде всего, с выявлением и пресечением такого рода проявлений. Несмотря на то, что все вышеперечисленные мероприятия осуществляются системно и в тесном взаимодействии с компетентными территориальными подразделениями федеральных органов исполнительной власти, возникают сложности с определением критериев эффективности данной практики. Следует выделить ряд объективных факторов, определяющих данные обстоятельства:
1. Субъекты нелегальной деятельности не концентрируются на конкретном сегменте финансового рынка, а осуществляют комплексную диверсифицированную работу одновременно на рынках финансовых услуг, товаров (медицинского назначения, ювелирных изделий, недвижимости), посреднической деятельности и в сфере деятельности нетрадиционных религиозных организаций и их объединений.
2. Значительная часть нелегальной деятельности осуществляется «онлайн» без привязки к конкретным офисам, реальным юридическим лицам и адресам, а также физическим лицам – учредителям.
3. Цифровизация нелегальной деятельности растет относительно более высокими темпами по сравнению с данными процессами на рынках товаров и услуг.
Таким образом, следует говорить о наличии ряда фундаментальных противоречий, определяющих существование массового социально-экономического явления нелегальной деятельности (рис. 1)

Рис. 1. Комплекс противоречий, определяющих современную диалектику развития сектора нелегальной деятельности на финансовом рынке
Осуществление простой количественной оценки выявленных и пресеченных фактов деятельности нелегальных финансовых организаций (проектов), даже с учетом количественной оценки масштабов пресеченной деятельности (в т.ч. средств, возвращенных потерпевшим) – не будет репрезентативно характеризовать уровень эффективности осуществленных мероприятий. Субъекты нелегальной деятельности не привязаны к конкретному региону, действуют по всей стране с использованием отличных друг от друга методик привлечения потенциальных потерпевших. Анализируемые правонарушения характеризуются высокой латентностью и низкой регистрацией. При этом, одна группа субъектов нелегальной деятельности одновременно работает на нескольких «рынках» одновременно.
Каждый из фактов пресечения является успехом для территориального подразделения Банка России и заслугой конкретных сотрудников. Практика успешных мероприятий должна оперативно распространяться по всей стране, что будет повышать уровень регистрации и раскрытия преступлений, а также правонарушений.
Использование количественных оценок (число пресечений, финансовые масштабы выявленной и пресеченной нелегальной деятельности и др.) является контрпродуктивным подходом по ряду причин:
1. Потенциальное снижение уровня трансфера апробированных практик выявления и пресечения нелегальной деятельности между территориальными органами. Передача эффективных методик и апробированных практик – повышает эффективность деятельности других террорганов, снижая рейтинговый уровень региона-донора данных новаций.
2. Количество пресеченных нелегальных организаций (проектов), а также масштабы их деятельности даже с учетом уровня численности населения в регионах не даст реальных репрезентативных данных об уровне эффективности, которые позволят осуществить корректные межрегиональные сравнения
3. Два вышеперечисленных фактора определяют потенциально высокий риск искажения информации территориальными органами Банка России с целью повысить уровень рейтинговой оценки подразделения. Материализация такого рода рисков связана с возможным зачетом каждого из субъектов пресеченной сети нелегальной деятельности по отдельности (для увеличения численности пресеченных организаций), двойной подсчет регионами фактов пресечений (ликвидация одной организации, действовавшей в нескольких регионах) и т.д.
Более предпочтительный методический подход к анализу и оценке деятельности анализируемых мероприятий основывается на изучении всех характеристик явления незаконной деятельности в совокупности и динамике. Данный подход основывается на гипотезе о том, что явление нелегальной деятельности определяется рядом факторов, каждый из которых определяет интенсивность его проявления и может охарактеризовать его отдельные параметры (рис. 2)

Рис. 2. Факторы влияния на развитие сектора нелегальной деятельности на финансовом рынке
В основу методики положена гипотеза о том, что основным показателем, характеризующим уровень развития нелегальной деятельности в регионе является Y – доля респондентов, которые в ходе ежегодного анонимного опроса ответили, что они в текущем году напрямую столкнулись с анализируемым явлением (стали его жертвами и им был нанесен материальный ущерб).
Таким образом, эффективность мероприятий по противодействию нелегальной деятельности в регионе в анализируемом году может, может быть оценена как индекс изменения Y в данном периоде:
![]()
Y1 – показатель текущего года;
Y0 –показатель прошлого года.
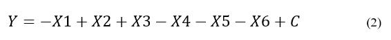
Ряд следующих показателей, характеризующихся, как факторы, определяющие нелегальную деятельность организаций (публичных проектов), могут быть также получены в результате анонимного анкетирования и быть использованными для проведения корреляционно-регрессионного анализа после накопления соответствующего эмпирического материала при систематическом проведении исследований в дальнейшем. (табл. 1)
Таблица 1
Показатели-факторы, определяющие (характеризующие) развитие сектора нелегальной деятельности на финансовом рынке
|
Условное обозначение |
Характер влияния на результирующий показатель Y |
Название показателя |
Способ расчета |
|
X1 |
Дестимулирующий |
Уровень осведомленности населения о существующем перечне видов нелегальной деятельности на финансовом рынке с признаками мошенничества |
Среднее арифметическое значение доли видов нелегальной деятельности на финансовом рынке с признаками мошенничества, указанное респондентами |
|
X2 |
Стимулирующий |
Уровень информационной активности субъектов нелегальной деятельности на финансовом рынке |
Доля респондентов, отметившая регулярное попадание в их поле зрения информационных сообщений рекламного характера о нелегальной деятельности на финансовом рынке |
|
X3 |
Стимулирующий |
Уровень вовлеченности граждан в деятельность субъектов нелегальной деятельности на финансовом рынке |
Доля респондентов, которая напрямую или косвенно сталкивалась с субъектами нелегальной деятельности на финансовом рынке |
|
X4 |
Дестимулирующий |
Уровень осведомленности населения о реальных возможностях полностью легального сектора финансового рынка и его продуктах |
Среднее арифметическое значение доли финансовых продуктов легального сектора рынка, которые известны респондентам (экономическая сущность, возможности, приемущества) |
|
X5 |
Дестимулирующий |
Уровень информационной активности субъектов легального сектора финансового рынка |
Доля респондентов, отметившая регулярное попадание в их поле зрения информационных сообщений рекламного или новостного характера о деятельности легальных участников финансового рынка, развитии институтов и инструментов финансового рынка |
|
X6 |
Дестимулирующий |
Уровень вовлеченности граждан в деятельность субъектов легального сектора финансового рынка |
Доля респондентов, которая напрямую использует продукты легальных участников финансового рынка для вложения своих временно свободных денежных средств |
Таким образом, эконометрическая модель, характеризующая развитие сектора нелегальной деятельности на финансовом рынке может быть представлена в следующем виде:

Отметим, что данная модель является гипотетической. Наличие накопленных эмпирических данных даст возможность проверить все факторы модели на мультиколлинеарность, а также оценить ее уровень статистической значимости. Однако, на текущем этапе, считаем, что данные показатели могут быть использованы в качестве детерминант значения Y, а также рассматриваться, как отдельные факторы, формирующие характеристики исследуемого явления.
1. Павлова Д.А. Новые финансовые пирамиды и проблемы финансовой грамотности // Ежегодник "Виттевские чтения". 2012. № 1. С. 275-277.
2. Зубарева А.М. Формирование новой концепции механизма противодействия теневой экономической деятельности, совершаемой с использованием финансовых пирамид // Управление экономическими системами: электронный научный журнал. 2016. № 5 (87). С. 20.
3. Назарова Н.Л., Семенченко О.Д. "Строительство" пирамид как разновидность мошенничества на финансовом рынке // Юридическая наука: история и современность. 2016. № 2. С. 141-146.
4. Князева И.Г., Окунев Д.О. Финансовая пирамида: сущность, риски, эволюция // Вестник современной науки. 2015. № 2 (2). С. 65-66.
5. Белицкий В.Ю. Назначение и производство бухгалтерской судебной экспертизы по делам о мошенничествах, совершенных по принципу "финансовых пирамид" // Вестник Барнаульского юридического института МВД России. 2016. № 1 (30). С. 9-11.
6. Кулев В.К., Папшева Е.В., Старинский А.Ю., Сугробова К.С. Телефонное мошенничество // Труды международного симпозиума Надежность и качество. 2010. Т. 2. С. 352-354.
7. Гилязов Р.Р. Способы совершения мошенничеств с использованием средств сотовой телефонной связи как элемент криминалистической характеристики // Евразийский юридический журнал. 2014. № 12 (79). С. 167-169.
8. Михалёв А.В. Особенности расследования телефонных мошенничеств с банковскими картами на первоначальном этапе // Приоритетные направления развития науки и образования. 2014. № 3 (3). С. 288-289.
9. Барабанов В.С. К вопросу о телефонном мошенничестве // Аллея науки. 2018. Т. 2. № 6 (22). С. 785-790.
10. Шаехова А.Ф. Виды телефонного мошенничества // Инновационная наука. 2019. № 5. С. 151-154.
11. Шашло Н.В. Комплексный подход к обеспечению экономической безопасности предприятий // Фундаментальные исследования. 2016. № 11-3. С. 668-672.




