Московский государственный гуманитарно-экономический университет
с 01.01.2015 по 01.01.2020
с 01.01.2015 по 01.01.2020
с 01.01.2006 по 01.01.2020
Москва, г. Москва и Московская область, Россия
с 01.01.2017 по 01.01.2020
Архангельск, Архангельская область, Россия
ВАК 08.00.05 Экономика и управление народным хозяйством (по отраслям и сферам деятельности, в том числе: экономика, организация и управление предприятиями, отраслями, комплексами; управление инновациями; региональная экономика; логистика; экономика труда; экономика народонаселения и демография; экономика природопользования; экономика предпринимательства; маркетинг; менеджмент; ценообразование; экономическая безопасность; стандартизация и управление качеством продукции; землеустройство; рекреация и туризм)
ВАК 08.00.10 Финансы, денежное обращение и кредит
ВАК 08.00.12 Бухгалтерский учет, статистика
ВАК 08.00.13 Математические и инструментальные методы экономики
ВАК 08.00.14 Мировая экономика
УДК 33 Экономика. Экономические науки
В статье авторами представлена модель принятия решения о внедрении конкурентного инновационного предложения в ядерный топливный цикл. Рассмотрены факторы экономии на ресурсном потенциале ядерного топлива в рамках создания двухкомпонентной атомной энергетики. Приведена графическая интерпретация выбора технологии замыкания топливного цикла по объему переработки. Авторами рассмотрены динамика потребностей глобальной экономики в энергоресурсах за период 1865-2015 гг. и рыночная статистика по ценам на электроэнергию в России и мире в 2011-2019 гг. и прогноз до 2024 г. Рассмотрена математическая модель определения оптимального соотношения между ожидаемым экономическим результатом от развития двухкомпонентной энергетики и затратами на ее создание. Применение данной модели даёт экономический результат, который может быть рассчитан как синергетический эффект от инвестирования для всех отраслей экономики за некоторый период. Авторами рассчитано по формуле влияние социального фактора на экономический результат. Отражены в статье модель атомной энергетики, сформированная на основе методологии «экономического креста» и модель закрытого ядерного топливного цикла, сформированная на основе модели «экономического креста».
замыкание ядерного топливного цикла, экономический крест, конкуренция, интеграция, инновации
Введение.
Топливный рынок является одним из наиболее консервативных рынков глобальной экономики. Это связано с положением данного товара в цепочке добавленной стоимости.
Осуществление модернизации продуктов, стоящих в конце цепочек добавленной стоимости и / или обладающих самостоятельной потребительской стоимостью возможно исключительно посредством адаптации их к обновленным запросам рынка. Примерами такой модернизации является расширение функционала товара, диверсификация ассортиментной структуры, реорганизация затрат на исходное сырье.
Модернизация для рассмотренной категории товаров может быть реализована в три этапа: проведение маркетинговых исследований; разработка и реализация экономической и технической концепции модернизации; внедрение модернизированного продукта на рынок.
Наиболее мобильны в плане реализации инновационных решений организации, реализующие товары, обладающие потребительской стоимостью. В простейшем случае, они реализуют инновационный процесс за счет перестройки их сети поставщиков стандартизированных ресурсных товаров.
До тех пор, пока инновационный товар, обладающий потребительской стоимостью, может быть реализован исключительно в рамках стандартной ресурсной структуры, спрос на инновационный ресурс предъявляться не будет. До возникновения спроса на инновационный ресурсный товар не может быть реализован спрос на ресурсный инновационный товар второго порядка.
Соответственно, частота возникновения спроса на инновационный товар обратно пропорциональна близости товара к началу цепочки добавочной стоимости.
Кроме того, производители товаров, находящихся в начале цепочек добавочной стоимости, вынуждены учитывать запросы не только своего непосредственного заказчика, но и предпочтения его возможных покупателей.
Результаты исследования.
Процедура принятия решения о внедрении инновационной технологии в производство столь консервативного товара, как ядерное топливо, осуществляется в несколько этапов, как показано на рисунке 1.


Рисунок 1 – Модель принятия решения о внедрении конкурентного инновационного предложения в ядерный топливный цикл
Представленная на рисунке 1 модель содержит основные потоки информации и целесообразности реорганизации топливного цикла. Рассмотрим эти потоки более подробно.
1. Проблема ограниченности ресурсного фактора решается предварительно на всех этапах жизненного цикла ядерного топлива до модернизации модели управления топливным циклом. Применительно к ядерному топливу основными видами ресурсов, по которым может осуществляться мониторинг, являются: собственно ядерное топливо; земельные территории, экономическая ценность и размер которых снижается сообразно их использованию для целей утилизации ядерного топлива; логистические и складские ресурсы, используемые для поддержки бесперебойности функционирования атомной энергетики.
2. Влияние экономического фактора может быть оценено через расчет рисков управления топливным циклом в долгосрочном периоде. Они включают в себя риски манипулирования ценами и условиями поставки со стороны поставщика ядерного топлива, риски изменения конъюнктуры глобального топливного рынка.
3. Значимость социального фактора наиболее велико для постиндустриального общества, при этом в среднесрочном периоде она будет увеличиваться. Социальный фактор не влияет напрямую на экономические показатели конкурентоспособности атомной энергетики, однако определяют приемлемость использования атомной энергии со стороны общества как возможной альтернативы.
Построим модель, позволяющую оценить возможные выигрыши по использованию всех трех вышеуказанных факторов в течении реализации оптимизированного топливного цикла.
Современный топливный цикл включает в себя восемь стадий, на каждом из которых возможна экономия на ресурсном факторе.
Факторы экономии на ресурсном потенциале за счет реорганизации топливного цикла представлены в таблице 1.
Таблица 1. Факторы экономии на ресурсном потенциала ядерного топлива в рамках создания двухкомпонентной атомной энергетики
|
Фактор |
Показатель экономии |
Время реализации проекта |
Поправочный коэффициент |
|
Добыча |
V1P1 |
t1 |
r1 |
|
Создание концентрата |
V2P2 |
t2 |
r2 |
|
Конверсия |
V3P3 |
t3 |
r3 |
|
Обогащение |
V4P4 |
t4 |
r4 |
|
Фабрикация |
V5P5 |
t5 |
r5 |
|
Доставка |
V6P6 |
t6 |
r6 |
|
Утилизация ОЯТ |
V7P7 |
t7 |
r7 |
|
Хранение ОЯТ |
V8P8 |
t8 |
r8 |
Источник: авторская разработка
Экономия ViPi может быть рассчитана как произведение объема полуфабриката (ядерного топлива либо отработанного ядерного топлива) на его цену (себестоимость хранения), сэкономленное за счет повторной переработки ядерного топлива, на его ориентировочную цену. Оценку соответствующего потенциала экономии следует осуществлять с поправками на временной период t и поправочный коэффициент r.
Временной период ti влияет на возможность экономии ресурса на амортизационном фонде и высвобождении части инфраструктуры топливного цикла под другие цели. Кроме того, экономия на топливе за счет повторного использования должна учитывать соотношение между ценностью финансовых ресурсов во времени. Соответствующая поправка r может быть рассчитана по формуле 1 через показатель дисконтирования финансовых потоков, характеризующий изменение ценности денег во времени:ɵ

где
R - коэффициент дисконтирования,
i – порядковый номер периода, за который осуществляется дисконтирование.
Получение представленной в табл. 1 экономии потребует дополнительных затрат в размере:
1. Cт(qt) – комплексные затраты на создание и реализацию технологии замыкания ядерного топливного цикла. Величина затрат зависит от величины q урана, доступного для повторного использования:
![]()
где
С0 – минимально необходимый объем затрат на создание и реализацию технологии;
ɣ-глубина выгорания ядерного топлива
ɵ-количество доступных этапов для повторного использования ядерного топлива; находится в непрямой обратной зависимости от ɣ;
k1q – повышающий коэффициент, увеличивающий затраты на создание и реализацию технологии по повторной переработке ядерного топлива сверх минимального количества q. В настоящее время он достаточно велик, именно по этой причине для проектов БН – 1200 и БН – 1600 все еще не доказана экономическая эффективность, а проект БН – 600 стало возможно реализовать в 80-х годах прошлого века.
2. Си(q) - комплексные затраты на инфраструктурное обеспечение замыкания ядерного топливного цикла. Величина Си(q) может быть рассчитана по формуле:
![]()
где
Qt-1 – объем ядерного топлива, использованного в рамках предыдущего цикла;
k2q –коэффициент, увеличивающий либо понижающий затраты на инфраструктурное обеспечение повторной переработки ядерного топлива за счет интенсификации (экстенсификации) эксплуатации одной единицы площади инфраструктуры;
kр – коэффициент, отвечающий за региональную стоимостную поправку.
3. Сп(q) - комплексные затраты на поддержание процесса переработки при фиксированных технологических и инфраструктурных условиях, рассчитываемый по формуле:

где
с0 – цена повторной переработки урана по состоянию на момент проведения исследований.
Экономически приемлемой по первому показателю может считаться модель замыкания ядерного топливного цикла в случае, когда затраты на ее создание могут быть скомпенсированы за счет получения дополнительной выгоды от получения более дешевого переработанного ядерного топлива. Важным фактором при этом является прогнозная рыночная цена вновь созданного ядерного топлива. Графически задача, стоящая при оценке экономической состоятельности модели замкнутого топливного цикла представлена на рисунке 2.

Рисунок 2 – Графическая интерпретация выбора технологии замыкания топливного цикла по объему переработки (q(t))
Второй компонент позволяет обеспечивать региональный экономический рост за счет обеспечения доступности энергии для центров экономического роста. Динамика потребностей глобальной экономики в энергоресурсах представлена на рисунке 3.

Рисунок 3 – Динамика потребностей глобальной экономики в энергоресурсах, 1865-2015 гг. [4, С.21]
Оценка потребностей глобальной экономики в дополнительных энергоресурсах путем механической экстраполяции тренда 1955-2016 гг. на среднесрочную перспективу может быть осуществлена при соблюдении следующих условий.
- Возможность использования энергетического ресурса для освоения новых рынков и территорий на условиях не хуже, чем в ведущих экономиках мира.
- Наличие резервов роста потребления энергии либо за счет экстенсивного развития экономики, либо за счет ее технологической диверсификации.
- Стабильность цен на сырье для энергетической отрасли.
Соблюдение всех трех условий для отечественной атомной энергетики может оказаться выполнимым в случае реорганизации управления топливным циклом в атомной энергетике.
Рассмотрим рыночную статистику по ценам на электроэнергию в России и мире в 2011-2019 гг. и прогноз до 2024 г. на рисунке 4.



Рисунок 4 – Соотношение между показателями ИПЦ и динамикой оптовых цен на электроэнергию в России, США и ЕС в 2011-2019 гг. и прогноз до 2024 г. [6, С. 4-5]
Превышение динамики оптовой цены на электроэнергию над индексом потребительских цен является системным барьером для развития национальной экономики и создает устойчивый негативный эффект в долгосрочном периоде.
Требуется математическая модель определения оптимального соотношения между ожидаемым экономическим результатом от развития двухкомпонентной энергетики и затратами на ее создание. Экономический результат может быть рассчитан как синергетический эффект от инвестирования для всех отраслей экономики за некоторый период.
Введем обозначение составных элементов синергетического эффекта.
Х1i(t) – стоимостной показатель величины сдерживания роста производства промышленной продукции за счет экономически неэффективной структуры цены электроэнергии. При снятии соответствующих ограничений она может быть интерпретирована как положительный синергетический эффект от развития двухкомпонентной ядерной энергетики для i-ой отрасли. Величина данного показателя может расcчитываться для любого доступного для анализа временного периода t для отрасли i.

Piэ – прогнозная средняя дисконтированная цена на продукцию i-ой отрасли;
∆Piэ – прогнозная средняя дисконтированная экономия на цене электроэнергии для отрасли i за выбранный период t.
R – коэффициент корреляции между количественными изменениями цены на электроэнергию и объемами производства для отрасли i, рассчитываемый по формуле:

где
Pi,j – наблюдение дисконтированного показателя цены на продукцию i-ой отрасли за j-ый период;
Piср – средняя цена продукции i-ой отрасли за рассматриваемый период;
Qi,j – объем выпуска продукции i-ой отрасли за j-ый период;
Qi,ср – средний объем выпуска i-ой отрасли за рассматриваемый период.
Количество наблюдений m должно быть максимально велико, однако выбираться в пределах одного цикла С. Кузнеца, особенно для неробастных моделей зависимости отраслевого выпуска от цены электроэнергии. Для дальнейшего использования в формуле (1) следует выбирать только те отрасли, для которых R превышает 0,8-0,85 после соответствующей проверки на автокорреляцию и мультиколлинеарность.
Х2k(t) – стоимостной показатель величины сдерживания роста спроса на продукцию за счет экономически неэффективной структуры цены электроэнергии. При снятии соответствующих ограничений она может быть интерпретирована как положительный синергетический эффект от развития двухкомпонентной ядерной энергетики для потребителей продукции k-ой отрасли.
Величина Х2k(t) за расчетный период может быть рассчитана по формулам (1) и (2) при использовании в качестве показателей Qi,j объемов потребления продукции i-ой отрасли за j-ый период.
Расчет экономического синергетического эффекта для отдельного участника экономических отношений может быть рассчитан через определение доли этого участника в величине Х2k(t). В отличие от показателя Х1i(t), Х2k(t) нуждается в дополнительном уточнении бенефициара. Например, снижение энергии может означать изменение структуры и рост количественных показателей спроса в пользу иностранного производителя, что в долгосрочном периоде может сказаться негативно как на конкурентоспособности национального производителя, так и на качестве жизни населения региона в целом. Кроме того, следует учитывать риски использования представителями спекулятивного рынка ценовых диспропорций.
С учетом изложенного выше, положительный экономический синергетический результат от замыкания топливного ядерного цикла и создания двухкомпонентной атомной энергетики можно рассчитать по формуле (3):

где
kг – величина, определяющая долю государства в доходах от роста спроса на продукцию за счет снижения цены электроэнергии;
kнп - величина, определяющая долю национального производителя в доходах от роста спроса на продукцию за счет снижения цены электроэнергии;
kнт - величина, определяющая долю национального потребителя в доходах от роста спроса на продукцию за счет снижения цены электроэнергии;
kип – величина, определяющая долю потерь национального производителя в доходах от роста спроса на продукцию за счет снижения цены электроэнергии;
kc - величина, определяющая долю потерь национального производителя в доходах от роста спроса на продукцию за счет снижения цены электроэнергии.
Х3s(t) – стоимостной показатель величины сдерживания роста производства услуг общественного сектора. В отличие от первых двух стоимостных оценок, Х3s(t) имеет сложную структур и включает в себя:
- собственно увеличение стоимостного показателя величины роста производства услуг общественного сектора за счет формирования двухкомпонентной энергетики. Эта величина формируется за счет создания новых рабочих мест, объектов интеллектуальной собственности, создания и закупки нового оборудования;
- увеличение использование услуг общественного сектора (в стоимостям показателе) за счет повышения инвестиционной привлекательности отраслей, цена на продукцию которых не связана существенно с ценой на электроэнергию. Примером могут служить рост спроса на услуги при развитии промышленности в регионе, рост спроса на образовательные услуги при увеличении потребности промышленности в рамках импортозамещающих проектов развития.
Величина Х3s(t) может быть рассчитана по формуле:
![]()
где
С – стоимость товаров и услуг общественного сектора, формируемого за счет развития двухкомпонентной атомной энергетики;
I – совокупный доход региона, в котором реализована модель двухкомпонентной ядерной энергетики за период t;
– показатель мультипликатора, в котором величина
Влияние социального фактора может быть рассчитано по формуле:

где
D - замещение потребления энергетики-ближайшей альтернативы продукцией атомной энергетики;
Pu – прогнозная дисконтированная цена на уран;
Pa – прогнозная дисконтированная цена на 1 ед. топлива в неатомной энергетики (берутся данные по ближайшей альтернативе);
Сс – издержки на популяризацию идеи безопасности ядерной энергетики с ЗЯТЦ.
Сопоставительный анализ динамики показателей спроса на продукцию атомной энергии показывает его существенную зависимость от социального фактора. Подобная закономерность может быть проиллюстрирована на примере динамики на уран ($/кг) в сопоставлении с ценой иных видов топлива, как это показано на рисунке 5.

Рисунок 5 – Корреляция реакции общества на негативные события в атомной энергетике, цены на ядерное топливо и другие виды топлива, 1971-2016 гг.
Проведем интегрированную оценку конкурентных преимуществ модели «экономического креста» замкнутого ядерного топливного цикла (ЗЯТЦ).
Модель «экономического креста» представляет собой пересечение топливного и ресурсного циклов, как показано на рисунке 6.

Рисунок 6 – Модель атомной энергетики, сформированная на основе методологии «экономического креста» [13, С.38]
Процедура замыкания топливного цикла представляет собой модификацию топливного цикла, как представлено на рисунке 6.

Рисунок 7 – Модель ЗЯТЦ топливного цикла, сформированная на основе модели «экономического креста» [13, C.39].
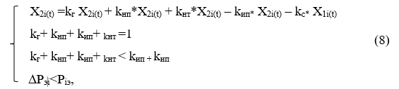
Построим математическую модель оценки экономической эффективности замыкания ядерного топливного цикла на основе модели экономического креста с обеспечением последующего отбора. Управление параметрами ЗЯТЦ может осуществляться в рамках следующей системы уравнений (11).
Эндогенными переменными в рамках системы уравнений (11) являются qt, технологические параметры ɣ и ɵ. В качестве экзогенных параметров выступают отношение прироста цены на уран к приросту цены на нефть, имеющиеся бюджетные инвестиционные ограничения В.

При работе на открытом рынке важное значение имеет параметр, определяющий сроки возможного морального старения начальной технологии ЗЯТЦ.
Заключение.
Достоинствами предложенной методики является возможность расчета экономической эффективности замыкания ядерного топливного цикла как для конкретных значений экзогенных параметров, так и при их стохастическом характере для любого периода времени в рамках ранее построенной модели «экономического креста» ЗЯТЦ. Возможен также расчет экономической эффективности на одном из участков экономического креста.
1. Гераскин Н.И., Пискунова Н.А. Методика оценки экономической целесообразности замыкания топливных циклов легководных реакторов // Известия вузов. Ядерная энергетика. - 2014. - № 4. - С.110-118
2. Трубачеев Е.В. Кластеризация национальной экономики как инструмент локализации в мировой экономической архитектуре // Человек. Общество. Инклюзия. - 2018. - С.67-76.
3. Репкина О.Б. Формирование экономического потенциала предпринимательских организаций на основе совершенствования системы управления // Модернизация. Инновации. Развитие. - 2011. - №6. - С.92-94.
4. Кадомцева С.В., Манахова И.В. Современная парадигма социально-экономического развития. Часть III: гуманизация воспроизводства - М.: МГУ - Саратовский социально-экономический институт (филиал) РЭУ им. Г.В. Плеханова. - 2019. - №1(75). - С. 26-30.
5. Прогноз развития энергетики Мира и России - 2019 - М.: Институт энергетических исследований Российской академии наук - Центр энергетики Московской школы управления Сколково, 2019.
6. Старченко А. Новая энергетика: какой выбор есть у потребителя? / Российская энергетика: новый инвестиционный цикл. XII ежегодная конференция 20 марта 2019 г., г. Москва [электронный ресурс], URL: https://www.np-ace.ru/media/presentations_documents/AGSVedomosti2019.pdf (дата обращения 21.09.2020).
7. Тимохин Д.В. Развитие атомной энергетики в контексте формирования постиндустриального общества. Открытый курс лекций факультета политологии МГУ при поддержке госкорпорации Росатом [Электронный ресурс], URL: https://www.youtube.com/watch?v=jqH5rLUU6dU (дата обращения 21.09.2020).
8. Путилов А.В., Кучинов В.П., Червяков В.Н., Смирнов Д.С. Научно-технологическое прогнозирование - инструментарий оценки стратегии инновационного развития двухкомпонентной атомной энергетики // «Инновации». - 2019. - №8 (2050). - С. 2-9.
9. Путилов А.В., Ворьбьев А.Г., Тимохин Д.В., Разоренов М.Ю. Использование метода «экономического креста» в расчетах потребности ядерного топлива для развития атомной энергетики // «Цветные металлы». -2013. - № 9. - С.18-26
10. Путилов А.В., Воробьев А.Г. Принципы формирования «экономического креста» в прогнозировании развития атомного энергопромышленного комплекса // «Экономика в промышленности». - 2013, № 1. - С.33-41.
11. Тимохин Д.В., Панин А.В., Демин С.А. Евразийская интеграция энергетики на основе модели экономического креста как фактор повышения эффективности функционирования российских предприятий // Этап: Экономическая теория, анализ, практика. - 2019. - №6. - С. 89-100.
12. Тимохин Д.В., Бугаенко М.В., Пименова В.О. Научно-технологическое развитие атомной энергетики России: социально-экономические решения // Вестник МНЭПУ. 2019. T.1 - №S. - С. 471-473.
13. Тимохин Д.В., Быков М.Ю. Перспективы формирования инновационных производств VI экономического уклада в России // Путеводитель предпринимателя. - 2019. - №42. - С. 51-60.
14. Кислицкий М.М. Оценка работы фирмы на основе анализа взаимосвязи и взаимовлияния экономического роста и инновационных технологий / М.М. Кислицкий, А.А. Чумачев, Е.П. Ган // Агропродовольственная политика России. - 2013. - №8 (20). - С. 43-49.



