с 01.01.2000 по настоящее время
Пенза, Пензенская область, Россия
с 01.09.2018 по 01.09.1920
Пенза, Пензенская область, Россия
ГРНТИ 67.03 Инженерно-теоретические основы строительства
ГРНТИ 67.11 Строительные конструкции
ГРНТИ 67.01 Общие вопросы строительства
ОКСО 08.04.01 Строительство
ББК 38 Строительство
ББК 308 Монтаж, эксплуатация, ремонт машин и промышленного оборудования
ТБК 54 Строительство
ТБК 5413 Основания и фундаменты. Механика грунтов
ТБК 5414 Строительные конструкции
Авторами обобщен большой опыт реконструкции зданий с учетом надстройки. Проведено визуальное натурное обследование фактического технического состояния основных несущих и ограждающих конструкций нежилого одноэтажного здания. Рассматривается возможность надстройки на этаж данного здания с использованием облегченных конструктивных элементов повышенной жесткости. По результатам обследования дана оценка технического состояния конструкций. Выявлено общее удовлетворительное состояние фундаментов, стен, внутренних опор, покрытия здания. Недопустимых прогибов плит, трещин в плитах и между ними не зафиксировано. Однако в стене по ряду Г имеются мелкие бессистемные трещины по наружной версте кладки, которые появились вероятнее всего в результате замачивания кладки от протечек с крыши и изменения температурно-влажностного режима. На данный момент трещинки стабилизировались, протечки устранены. Выполнены расчеты фундаментов из условия проверки напряжений под подошвой и проверка напряжений с учетом надстройки. Формулируются выводы и рекомендации. За стеной по оси Г в процессе строительства и эксплуатации необходимо вести наблюдение. В случае активизации развития конструктивных трещин решать вопрос о возможном усилении.
обследование, техническое состояние, несущие и ограждающие конструкции, надстройка, проверка напряжений под подошвой фундамента
Введение. Исследование вопроса реконструкции различных по назначению зданий и сооружений показал, что увеличение нагрузок при надстройке зданий возможно и без усиления фундаментов и дополнительного упрочнения грунтов основания, если воспользоваться резервом несущей способности грунтов [1-5].
За время эксплуатации зданий и сооружений грунты основания под воздействием нагрузки уплотняются и получают более высокие прочностные характеристики и более низкие деформативные.
Для зданий, эксплуатируемых в различных грунтовых условиях 3-8 лет и не имеющих недопустимых деформаций расчетное сопротивление грунта основания может быть повышено в 1,05-1,50 раза [6].
Цель настоящей работы – выявить возможность надстройки здания еще на этаж с использованием облегченных конструктивных элементов повышенной жесткости.
Материалы и методы при проведении обследования:
- задание частного лица на проведение работ по обследованию технического состояния основных несущих и ограждающих конструкций здания по ул. 2-ой Фестивальный проезд, дом 5а в г.Пенза и выдачу технического заключения о возможности надстройки на этаж данного здания с использованием облегченных конструктивных элементов;
- технический паспорт на здание;
- результаты определения физико-механических характеристик грунтов основания реконструируемого цеха фабрики Пианино по ул. Тарханова;
- результаты определения физико-механических характеристик грунтов основания здания гаража по ул. Автономная;
- результаты натурного обследования фактического технического состояния здания по ул. 2-ой Фестивальный проезд, дом 5а в г.Пенза;
- поверочные расчеты несущей способности основания.
Характеристика объекта. Здание представляет собой прямоугольное в плане кирпичное строение размерами в осях 12,0х18,0 м с несущими наружными стенами из силикатного кирпича толщиной 510 мм и внутренними несущими кирпичными столбами размером 510х510 мм. Здание одноэтажное, бесподвальное. Общая высота этажа 3,45 м в чистоте. Здание запроектировано для использования в качестве магазина.
По результатам обследования фундаментов из шурфа, отрытого у наружной стены здания (рис.1), он выполнен из бетонных блоков шириной 0,5 м по щебеночной подготовке толщиной 150 мм. Сечение фундамента под стену показано на рис. 2. Горизонтальная гидроизоляция выполнена из двух слоев рубероида на мастике.

Рис.1. План расположения шурфа

Рис 2. Сечение фундамента в шурфе
Крыша здания плоская. Плиты покрытия железобетонные многопустотные. Кровля из 4 слоев рубероида на битумной мастике по стяжке из цементно-песчанного раствора 30 мм и утеплителю из пенобетонных плит толщиной 150 мм.
Визуальное натурное обследование фактического технического состояния, несущих и ограждающих конструкций здания показало следующее:
- фундаменты здания выполнены из бетонных стеновых блоков шириной 500 мм с опиранием на щебеночную подготовку толщиной 150 мм. Глубина заложения подошвы фундамента 2,0 м. В основании залегают супесчано-суглинистые грунты. Общее состояние фундаментов удовлетворительное.
- стены здания кирпичные из силикатного кирпича толщиной 510 мм. Общее состояние стен удовлетворительное, однако в стене по ряду Г имеются мелкие бессистемные трещины по наружной версте кладки, которые появились вероятнее всего в результате замачивания кладки от протечек с крыши и изменения температурно-влажностного режима. Трещинки стабилизировались, протечки устранены.
- внутренние опоры – кирпичные столбы сечением 510х510 мм, отштукатуренные. Каких либо трещин и других дефектов в штукатурке не обнаружено. Состояние столбов удовлетворительное.
- покрытие здания выполнено из пустотных железобетонных плит с опиранием на наружные стены и прогоны по внутреннему ряду столбов. Недопустимых прогибов плит, трещин в плитах и между ними не зафиксировано. Общее состояние покрытия удовлетворительное.
- кровля здания, совмещенная мягкая не обследовалась в связи с тем, что при надстройке она будет снята.
Расчет фундаментов
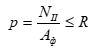
Расчет фундаментов заключается в подборе размеров подошвы из условия проверки напряжений под подошвой. В соответствии с СП 22.13330.2016 среднее давление под подошвой фундамента от нормативных нагрузок не должно превышать расчетного сопротивления грунта основания, то есть должно выполняться условие:

где р - среднее давление под подошвой фундамента;
N11 - полная нормативная нагрузка на фундамент;
Аф - площадь подошвы фундамента;
R - расчетное сопротивление грунта основания.
а) Определение расчетного сопротивления грунта основания
Расчетное сопротивление грунтов основания определяется по формуле:
,
где
- коэффициент условий работы грунтов основания;
- коэффициент условий работы сооружения совместно с основанием;
-коэффициент надежности определения физико-механических характеристик грунтов основания;
– коэффициенты, зависящие от угла внутреннего трения грунта несущего слоя;
– коэффициент, зависящий от ширины подошвы фундамента,
– ширина подошвы фундамента,
– среднее значение удельного веса грунтов, залегающих ниже подошвы фундамента,
– то же, залегающих выше подошвы фундамента,
– глубина заложения подошвы фундамента,
– глубина подвала,
– удельное сцепление грунта.
В связи с отсутствием инженерно-геологических условий под данный объект, для расчета взяты определенные результаты изысканий ближайшего окружения – техникум сфера быта и услуг, фабрика пианино, сооружения по ул. Автономная – гараж, ангар и т.д.

Расчетное сопротивление грунта равно:

б) определение фактического давления под подошвой фундамента
Проверка напряжений под подошвой фундамента [7] производится на действие нормативных нагрузок – (табл. 1).
Таблица 1
|
№ п/п |
Наименование нагрузок |
Нормативная нагрузка, кг/ м2 |
|
1 2 3 4 5 |
Постоянные Гидроизоляционный ковер – 4 слоя рубероида на мастике Стяжка из цементно-песчаного раствора 20 мм Утеплитель – пенобетон 150 мм Пароизоляция Плита покрытия |
20,0 36,0 150,0 5,0 300,0 |
|
6 7 |
Временные Снеговая На покрытие |
126,0 75,0 |
|
ИТОГО |
712,0 |
|
Собственный вес стены:
Qст= 0,51х1,0х4,0х1800=3672,0 кг/м.
Собственный вес фундамента:
QФ = 0,5х1,0х2,0х2300=2300,0 кг/м.
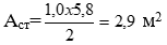
Грузовая площадь для сбора нагрузок равна
![]()
Полная нормативная нагрузка на 1 погонный метр стены равна:
NII=712,0 х 2,9 х + 3672,0 + 2300,0 = 2065,0 + 3672,0 + 2300,0 = 8037,0 кг = 80,4 кН.
![]()
Требования норм выполняются с запасом.
в) проверка напряжений с учетом надстройки
При надстройке здания часть нагрузки будет снята (табл.2), а именно:
Таблица 2
|
№ п/п |
Наименование нагрузок |
Нормативная нагрузка, кг/ м2 |
|
|
гидроизоляционный ковер |
20,0 кг/ м2 |
|
|
стяжка из цементно-песчаного раствора 20 мм |
36,0 кг/ м2 |
|
|
утеплитель – пенобетон 150 мм |
150,0 кг/ м2 |
|
|
ИТОГО |
206,0 кг/ м2 |
После надстройки этажа с применением облегченных металлических гнутых профилей повышенной жесткости для несущих и ограждающих конструкций, разработанных и ЦНИИИПСК им. Мельникова г. Москва, нагрузки на фундамент возрастут (табл.3).
Таблица 3
|
№ п/п |
Наименование нагрузок
|
Нормативная нагрузка, кг/ м2 |
|
|
Постоянные |
|
|
1 |
Кровля - металлочерепица |
7,0 |
|
2 |
Обрешетка пароизоляция, разреженная обшивка из досок |
21,5 |
|
5 |
Металлический каркас |
20,0 |
|
6 |
Утеплитель УРСА 200 мм |
5,0 |
|
7 |
Ферма металлическая |
70,0 |
|
8 |
Пароизоляция, обрешетка, сплошная обшивка из досок |
32,0 |
|
11 |
Потолок 2 слоя гипсокартона |
25,0 |
|
12 |
Перегородки |
100,0 |
|
13 |
Полы дощатые, линолеум |
35,0 |
|
14 |
Металлический каркас для пола |
52,0 |
|
|
Временные |
|
|
15 |
Эксплуатационная по СНиП 200,0 х 2 |
150,0 |
|
ИТОГО |
580,0 |
|
Нагрузка от веса стены составляет 110,0 кг/м
Полная нормативная нагрузка на фундамент после надстройки составит:
![]()
Среднее давление под подошвой будет равно:
![]()
Увеличение нагрузки на фундамент составит:
.
Обобщая большой опыт реконструкции зданий с учетом надстройки, учитывая опрессовку грунта в процессе длительной эксплуатации профессора Поляков Е.В., Соколов В.К. рекомендуют увеличивать расчетное сопротивление уплотненного грунта повышающими коэффициентами. Они зависят от соотношения фактического среднего давления под подошвой и расчетного сопротивления грунта природного состояния.
Имеем: ![]()
При таком соотношении повышающий коэффициент равен 1,35, то есть возможно повышение давления на 35,0 %.
По мнению проф. Коновалова П.А. увеличение давления на 20 % возможно без усиления фундаментов и грунтов основания для зданий, эксплуатирующихся не менее 10 лет, и не имеющих деформаций и повреждений, затрудняющих нормальную эксплуатацию сооружения.
Основные выводы и рекомендации:
- Результаты натурного обследования фактического технического состояния несущих и ограждающих конструкций здания по ул. 2-ой Фестивальный проезд, 5а, поверочные расчеты основания показывают, что здание может быть надстроено еще на этаж с использованием облегченных конструкций без усиления существующих фундаментов.
- Для более равномерного распределения усилий от надстраиваемого этажа рекомендуем по всем стенам здания и внутренним прогонам устроить монолитный железобетонный пояс высотой 200 мм, шириной не менее 250 мм с армированием арматурой класса А – III не менее 3-х стержней диаметром 12 мм в верхней и нижней зонах. Поперечная арматура по нормам.
- Вокруг здания необходимо восстановить разрушенную отмостку.
- За стеной по оси Г в процессе строительства и эксплуатации вести наблюдение. В случае активизации развития конструктивных трещин решать вопрос о возможном усилении.
1. Анисимов В.А. Реконструкция жилищного фонда: направления, требования, перспективы // Труды Новосибирского государственного архитектурно-строительного университета (Сибстрин). 2011. Т. 14. № 2 (51). С. 5-10.
2. Чичкин А.Ф., Хрянина О.В. Реконструкция сооружения посредством перепланировки и надстройки //Моделирование и механика конструкций. 2016. №3. Систем. требования: Adobe Acrobat Reader. URL: http://mechanics.pguas.ru/Plone/nomera-zhurnala/no3/stroitelnye-konstrukcii-zdaniya-i-sooruzheniya/3.18/at_download/file.
3. Листова А.И., Нуммур И.П. Об использовании легких металлических конструкций для реконструкции пятиэтажных домов. Вісник Придніпровської державної академії будівництва та архітектури. 2008. № 10 (129). С. 14-18.
4. Калугин П.И., Пятигор О.П., Пятигор Д.А. О распределении контактных давлений по подошве фундаментов реконструируемых зданий. Научный вестник Воронежского государственного архитектурно-строительного университета. Серия: Высокие технологии. Экология. 2014. № 1. С. 54-57.
5. Субботин И.А., Субботин В.А., Субботин А.И. Геотехнические исследования при анализе возможности реконструкций здания на примере здания киностудии по ул. Красноармейская, 94/ ул. Островского, 92 в г. Ростове -на Дону. Строительство и архитектура. 2014. Т. 2. № 2. С. 96-99.
6. Коновалов П.А., Коновалов В.П. Основания и фундаменты реконструируемых зданий: моногр. - М.: Изд-во АСВ, 2011. - 384 с.
7. Чичкин А.Ф., Кузнецов А.Н., Хрянина О.В. Расчет оснований и проектирование фундаментов. Учебное пособие: Пенза, ПГУАС, 2012.



