Russian Federation
Russian Federation
Novocherkassk, Russian Federation
BIM design has become firmly established in the construction industry, and creating a new building project from scratch allows you to reduce costs during the construction and operation of these construction facilities. There are several distributed BIM systems that meet the different needs of designers. At the same time, to create a full-fledged digital double, a certain software functionality is needed with the ability to add the necessary modules. The article reviewed the existing BIM software for a number of functions (support for BIM integration, availability of its own API and the ability to work with temporary loads for steel structures), determined the optimal BIM systems from the point of view of the user.
digital twin, point cloud, building information modeling (BIM), virtual model reconstruction
Применение технологий BIM проектирования для России стало уже не перспективой, а реальностью, в которой находится большая часть конструкторов и проектировщиков строительных объектов различной сложности [1]. При этом рассматриваются различные варианты загрузки и выгрузки данных с учетом целей и задач конкретных случаем моделирования [2].
Для создания цифровых двойников зданий (отображающих реальную работу и повреждения строительных объектов во времени и пространстве) широко применяются технологии лазерного сканирования и фотограмметрии, которые позволяют с высокой точностью отображать деформации и дефекты, доступные сканеру [3, 4].
При создании цифрового двойника здания информационная модель позволяет смоделировать и рассчитать износ и возможные разрушения зданий в процессе будущей эксплуатации [5], а также применить информационную модель для управления всеми этапами жизненного цикла строительных объектов.
Одним из ключевых показателей, по которым возможно сравнение программного обеспечения, является функциональная полнота [1]. Данная характеристика дает количественную оценку соответствия выбранных приложений требованиям пользователя.
В данной работе выполнен анализ семи систем автоматизированного проектирования (САПР) по ряду функций (поддержка интеграции BIM, наличие собственного API и возможность работы с временными нагрузками для стальных конструкций).
В таблице 1 представлен список исследуемого ПО [2-10]. Множество систем обозначено как множество С={Ci}, (i=1..7).
Таблица 1
Список исследуемых систем автоматизированного проектирования
|
Обозначение |
Наименование |
Источник информации |
|
С1 |
ЛИРА СОФТ |
https://lira-soft.com/ |
|
С2 |
SCAD |
https://scadsoft.com/ |
|
С3 |
Robot Autodesk |
https://www.autodesk.com/ |
|
С4 |
SAP2000 |
https://steel-concrete.ru/ |
|
С5 |
ETABS |
https://etabsmate.com/etabsmate_en |
|
С6 |
DLUBAL |
https://www.dlubal.com/ru |
|
С7 |
Scia Engeener |
https://www.scia.net/ |
Список рассматриваемых функций систем представлен в таблице 2. Множество функций обозначено как множество R={Rj}, (j=1..7).
Таблица 2
Список рассматриваемых функций систем автоматизированного проектирования (фрагмент)
|
R1 |
Поставляемая лицензия - коммерческая |
|
R2 |
Поставляемая лицензия - открытый исходный код |
|
R3 |
Соответствие российским СНИПам |
|
R4 |
Наличие русифицированного интерфейса |
|
R5 |
BIM integration форматы |
|
R6 |
Поддержка работы с форматом MSH |
|
R7 |
Поддержка работы с форматом STL |
|
R8 |
Поддержка работы с форматом OBJ |
|
R9 |
Поддержка работы с форматом MESH |
|
R10 |
Поддержка работы с форматом OFF |
|
R11 |
Поддержка работы с форматом POLY |
|
R12 |
Поддержка работы с форматом DXF |
|
… |
|
|
R81 |
Автоматизация повторяющихся задач |
|
R82 |
Создание и редактирование моделей |
|
R83 |
Задание нагрузок на конструкции |
|
R84 |
Проверка конструкций по нормам |
|
R85 |
Графическое представление расчетов |
|
R86 |
Импорт и экспорт моделей |
|
R87 |
Поддержка временных нагрузок |
|
R88 |
Стальные конструкции |
|
R89 |
Установление параметров нагрузок как функций от времени |
На основании множеств С и R определим матрицу Xij следующим образом:

Матрица X представлена в таблице 3.
Таблица 3
Матрица X
|
|
С1 |
С2 |
С3 |
С4 |
С5 |
С6 |
С7 |
|
R1 |
1 |
1 |
1 |
1 |
1 |
0 |
1 |
|
R2 |
0 |
0 |
0 |
0 |
0 |
1 |
0 |
|
R3 |
1 |
1 |
0 |
0 |
1 |
1 |
0 |
|
R4 |
1 |
1 |
0 |
1 |
1 |
0 |
0 |
|
R5 |
0 |
0 |
0 |
0 |
0 |
0 |
0 |
|
R6 |
1 |
0 |
0 |
0 |
0 |
0 |
0 |
|
R7 |
1 |
0 |
0 |
0 |
0 |
0 |
0 |
|
R8 |
1 |
0 |
0 |
0 |
0 |
0 |
0 |
|
R9 |
1 |
1 |
0 |
0 |
0 |
0 |
0 |
|
R10 |
1 |
0 |
0 |
0 |
0 |
0 |
0 |
|
R11 |
1 |
0 |
0 |
0 |
0 |
0 |
0 |
|
R12 |
1 |
1 |
1 |
1 |
0 |
1 |
1 |
|
… |
|||||||
|
R81 |
0 |
1 |
1 |
1 |
1 |
1 |
0 |
|
R82 |
1 |
1 |
1 |
1 |
1 |
1 |
0 |
|
R83 |
1 |
1 |
0 |
1 |
1 |
1 |
0 |
|
R84 |
0 |
0 |
1 |
1 |
0 |
1 |
0 |
|
R85 |
1 |
0 |
0 |
0 |
0 |
1 |
0 |
|
R86 |
0 |
1 |
1 |
0 |
0 |
1 |
0 |
|
R87 |
1 |
1 |
0 |
0 |
0 |
1 |
1 |
|
R88 |
1 |
1 |
1 |
1 |
1 |
1 |
1 |
|
R89 |
0 |
0 |
1 |
1 |
0 |
0 |
0 |
На начальном этапе произведен расчет матрицы P11ik (число операций, выполняемых системой Сi и системой Сk):
![]()
Далее построена матрица P10ik (число операций, выполняемых системой Сi и не выполняемых системой Сk):
![]()
Затем произведен расчет матрицы P01ik (число операций, выполняемых системой Сk и не выполняемых системой Сi.:
![]()
Рассчитанные ранее матрицы послужили основой расчета матрицы превосходства P по формуле:

В результате была получена матрица, представленная в таблице 4.
Таблица 4
Матрица превосходства P
|
|
С1 |
С2 |
С3 |
С4 |
С5 |
С6 |
С7 |
|
С1 |
0 |
16 |
15 |
12 |
7 |
18 |
4 |
|
С2 |
25 |
0 |
15 |
12 |
8 |
17 |
2 |
|
С3 |
30 |
21 |
0 |
8 |
6 |
18 |
7 |
|
С4 |
26 |
17 |
7 |
0 |
4 |
18 |
5 |
|
С5 |
29 |
21 |
13 |
12 |
0 |
23 |
8 |
|
С6 |
25 |
15 |
10 |
11 |
8 |
0 |
3 |
|
С7 |
32 |
21 |
20 |
19 |
14 |
24 |
0 |
Степень подобия систем Gik рассчитана по формуле меры подобия Жаккарда:

В результате вычислений была получена матрица, представленная таблице 5.
Таблица 5
Матрица подобия G
|
|
С1 |
С2 |
С3 |
С4 |
С5 |
С6 |
С7 |
|
С1 |
1,000 |
0,281 |
0,196 |
0,283 |
0,250 |
0,271 |
0,200 |
|
С2 |
0,281 |
1,000 |
0,234 |
0,341 |
0,275 |
0,347 |
0,324 |
|
С3 |
0,196 |
0,234 |
1,000 |
0,559 |
0,406 |
0,364 |
0,182 |
|
С4 |
0,283 |
0,341 |
0,559 |
1,000 |
0,484 |
0,356 |
0,250 |
|
С5 |
0,250 |
0,275 |
0,406 |
0,484 |
1,000 |
0,262 |
0,185 |
|
С6 |
0,271 |
0,347 |
0,364 |
0,356 |
0,262 |
1,000 |
0,270 |
|
С7 |
0,200 |
0,324 |
0,182 |
0,250 |
0,185 |
0,270 |
1,000 |
Величина Hik позволяет произвести оценку той доли функционала системы Zi, которая также выполняется в система Zk. В результате расчетов была получена матрица, представленная в таблице 6.
Таблица 6
Матрица поглощения H
|
|
С1 |
С2 |
С3 |
С4 |
С5 |
С6 |
С7 |
|
С1 |
1,000 |
0,390 |
0,268 |
0,366 |
0,293 |
0,390 |
0,220 |
|
С2 |
0,500 |
1,000 |
0,344 |
0,469 |
0,344 |
0,531 |
0,344 |
|
С3 |
0,423 |
0,423 |
1,000 |
0,731 |
0,500 |
0,615 |
0,231 |
|
С4 |
0,556 |
0,556 |
0,704 |
1,000 |
0,556 |
0,593 |
0,296 |
|
С5 |
0,632 |
0,579 |
0,684 |
0,789 |
1,000 |
0,579 |
0,263 |
|
С6 |
0,471 |
0,500 |
0,471 |
0,471 |
0,324 |
1,000 |
0,294 |
|
С7 |
0,692 |
0,846 |
0,462 |
0,615 |
0,385 |
0,769 |
1,000 |
Полученные матрицы необходимо преобразовать к логическому виду. Для этого были установлены пороговые значения:
eP= 20
eH= 0.7
eG= 0.4
На основании пороговых значений построим логические матрицы P0, H0, G0 (таблицы 7-9).
Таблица 7
Матрица превосходства P0, пороговое значение:20,00
|
|
С1 |
С2 |
С3 |
С4 |
С5 |
С6 |
С7 |
|
С1 |
0 |
1 |
1 |
1 |
1 |
1 |
1 |
|
С2 |
0 |
0 |
1 |
1 |
1 |
1 |
1 |
|
С3 |
0 |
0 |
0 |
1 |
1 |
1 |
1 |
|
С4 |
0 |
1 |
1 |
0 |
1 |
1 |
1 |
|
С5 |
0 |
0 |
1 |
1 |
0 |
0 |
1 |
|
С6 |
0 |
1 |
1 |
1 |
1 |
0 |
1 |
|
С7 |
0 |
0 |
1 |
1 |
1 |
0 |
0 |
Таблица 8
Матрица поглощения H0, пороговое значение: 0,70
|
|
С1 |
С2 |
С3 |
С4 |
С5 |
С6 |
С7 |
|
С1 |
0 |
0 |
0 |
0 |
0 |
0 |
0 |
|
С2 |
0 |
0 |
0 |
0 |
0 |
0 |
0 |
|
С3 |
0 |
0 |
0 |
1 |
0 |
0 |
0 |
|
С4 |
0 |
0 |
1 |
0 |
0 |
0 |
0 |
|
С5 |
0 |
0 |
0 |
1 |
0 |
0 |
0 |
|
С6 |
0 |
0 |
0 |
0 |
0 |
0 |
0 |
|
С7 |
0 |
1 |
0 |
0 |
0 |
1 |
0 |
Таблица 9
Матрица G0, пороговое значение:0,40
|
|
С1 |
С2 |
С3 |
С4 |
С5 |
С6 |
С7 |
|
С1 |
0 |
0 |
0 |
0 |
0 |
0 |
0 |
|
С2 |
0 |
0 |
0 |
0 |
0 |
0 |
0 |
|
С3 |
0 |
0 |
0 |
1 |
1 |
0 |
0 |
|
С4 |
0 |
0 |
1 |
0 |
1 |
0 |
0 |
|
С5 |
0 |
0 |
1 |
1 |
0 |
0 |
0 |
|
С6 |
0 |
0 |
0 |
0 |
0 |
0 |
0 |
|
С7 |
0 |
0 |
0 |
0 |
0 |
0 |
0 |
По полученным логическим матрицам P0, G0, H0 было выполнено построение соответствующих графов.
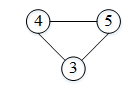
По графу превосходства (рисунок 1) видно, что система С1 (ЛИРА СОФТ) превосходит все остальные системы по исследуемым функциям. Например, число функций, которые входят в систему C1 и не входят в систему C7 равно 32. Также система С2 (SCAD) превосходит системы С3, С5, С7.

Рис. 1. Граф превосходства
На рисунке 2 изображен граф подобия, который показывает степень подобия рассматриваемых систем САПР при пороговом значении eG= 0.4. Степень подобия систем C3 и C4 составляет 55,9%, систем C3 и C5 - 40,6%, а систем C4 и C5 составляет 48,4%.

Рис. 2. Граф подобия
По данным матрицы H0 был построен граф поглощения (рисунок 3). Граф показывает, что система С7 поглощается системами С2 и С6 более чем на 70%. Функционал систем C3, C4 и С5 последовательно поглощается, что говорит об их высокой схожести.

Рис. 3. Граф поглощения
В ходе данного исследования было установлено, что наибольшей функциональной полнотой обладают системы С1 и С2. Важным преимуществом данных систем, является соответствие российским нормативным требованиям и федеральным законам и наличие русифицированного интерфейса. Однако эти системы не поддерживают реализацию функции «R89 – Установление параметров нагрузок как функций от времени», одной из самых важных функций при решении задачи расчета остаточного ресурса. Системы С3 и С4 имеют данный функционал, но данные продукты не соответствуют российским стандартам и недоступны для российских пользователей.
Поэтому для выбора САПР, наиболее соответствующего требованиям пользователя, в дальнейшем необходимо провести сравнительный анализ с некоторой условной «идеальной» системой, включающей в себя весь необходимый пользователю функционал или максимально соответствующей ему.
1. Puchenkov I.S., Evtushenko S.I. Sozdanie informacionnoy modeli zdaniya v srede obschih dannyh // Stroitel'stvo i arhitektura. - 2021. - T. 9, Vyp. 1 (30). - S. 46-50. doi:https://doi.org/10.29039/2308-0191-2021-9-1-46-50
2. Evtushenko S.I., Ostashev R.A. Razrabotka IFC mappinga dlya vygruzki informacionnyh modeley arhitekturnyh resheniy // Stroitel'stvo i arhitektura. - 2022. - T. 10, Vyp. 2 (35). - S. 91-110. doi:https://doi.org/10.29039/2308-0191-2022-10-2-91-110
3. Shutova M.N., Varenica A.P., Evtushenko S.I., Podskrebalin A.S. Primenenie metoda 3D skanirovaniya pri vypolnenii obmernyh rabot ob'ektov proizvodstvennogo i neproizvodstvennogo naznacheniya // Stroitel'stvo i arhitektura. - 2022. - T. 10, Vyp. 2 (35). - S. 76-80. doi:https://doi.org/10.29039/2308-0191-2022-10-2-76-80
4. Karyakin Yu. E., Golovkin V. A. Koncepciya BIM-tehnologiy: prikladnoe znachenie pri kapital'nom remonte zhilyh zdaniy //Matematicheskoe i informacionnoe modelirovanie. - 2019. - S. 168-184.
5. Demenev A. V., Artamonov A. S. Informacionnoe modelirovanie pri ekspluatacii zdaniy i sooruzheniy //Vestnik evraziyskoy nauki. - 2015. - T. 7. - №. 3 (28). - S. 102.
6. Ginzburg A.V., Maslyaev A.V. Raschet ob'ektov kapital'nogo stroitel'stva na maksimal'nye vozdeystviya - osnova zhiznesposobnosti naselennyh punktov Rossii // Zhilischnoe stroitel'stvo. 2022. № 1-2. S. 48-55. DOI: https://doi.org/10.31659/0044-4472-2022-1-2-48-55
7. Hubaev G.N. Sravnenie slozhnyh programmnyh sistem po kriteriyu funkcional'noy polnoty // Programmnye produkty i sistemy (SOFTWARE&SYSTEMS). - 1998. - №2. - S.6-9.
8. PK LIRA 10 Mnogofunkcional'naya sistema analiza i rascheta // LIRA SOFT URL: https://lira-soft.com/lira-10/ (data obrascheniya: 29.10.2022).
9. ScadSoft // SCAD Office URL: https://scadsoft.com/products/scad (data obrascheniya: 29.10.2022).
10. SAP2000 // Steel-concrete.ru URL: https://steel-concrete.ru/products/csi/sap2000/ (data obrascheniya: 29.10.2022).
11. ETABS MATE Software // ETABS MATE URL: https://etabsmate.com/etabsmate_en.htm (data obrascheniya: 29.10.2022).
12. Robot Structural Analysis // Autodesk URL: https://www.autodesk.com/ (data obrascheniya: 29.10.2022).
13. Programmy dlya rascheta i proektirovaniya konstrukciy // Dlubal URL: https://www.dlubal.com/ru (data obrascheniya: 29.10.2022).
14. IMAGINATION CALCULATED // SCIA URL: https://www.scia.net/en (data obrascheniya: 29.10.2022).
15. Autodesk® Robot™ Structural Analysis Professional Getting Started Guide Robot API. - Autodesk, Inc., 2020.
16. Geraymovich Yu.D, Evzerov I.D., Kirichok V.V., Kolesnikov A.V., Kuznecova E.V., Kurbatova E.A., Marchenko D.V., Movshovich Yu.D., Ostrovna B.V, Shul'gach B.V. PROGRAMMNYY KOMPLEKS LIRA 10.12. Rukovodstvo pol'zovatelya.



