Moscow State University of Civil Engineering (Graduate student)
Russian Federation
Moscow, Moscow, Russian Federation
Advances in structural health monitoring are helping professionals identify potential building hazards caused by aging and other environmental factors. Monitoring the state of structures primarily allows you to examine the current state of structural systems to assess their functional suitability and performance level. If the assessment of the condition of the structure reveals a lower level of performance than required, then work should be carried out immediately to restore and reconstruct it. , and specialists who monitor the state of "health" of buildings.
gpr, antenna frequency, structure condition, life cycle, monitoring methodology
Введение
Непрерывный мониторинг и надлежащее обслуживание сооружений являются жизненно важными требованиями современного общества [1]. Оценка надежности и безопасности строительных конструкций возлагается на органы, уполномоченные на ведение государственного строительного надзора. Для поддержания сооружений на должном техническом уровне и в исправном состоянии проводится мониторинг состояния инфраструктуры. Владелец не обязан содержать здания с точки зрения их функционального обслуживания, и юридические полномочия также были наложены на безопасность и безопасность общественных зданий; в этом аспекте мониторинг состояния инфраструктуры также поддерживается и финансируется государственными органами.
Передовые методы анализа и проектирования структурных систем, соответствующие руководящим принципам, позволяют избежать ошибок при проектировании строительных решений, однако трудности строительства создают различные проблемы, приводящие к отклонениям от проектных решений. Кроме того, старение конструкций создает дополнительные проблемы с точки зрения снижения прочности и ограничения функционирования недоступности по запросу [2, 3].
Помимо помощи инженерам в выявлении плохого состояния конструкций и других проблем безопасности, достижения в области мониторинга состояния конструкций также помогают профессионалам определять потенциальные риски для зданий, вызванные старением и другими факторами окружающей среды [4, 5]. Мониторинг состояния конструкций особенно полезен для предотвращения ущерба от воды и наводнений, вызванных разрушением плотин, дамб, трубопроводов и других подобных сооружений [6]. Мониторинг структурного состояния, по существу, исследует текущее состояние структурных систем для оценки их функциональной пригодности и уровней производительности [7]. Если оценка состояния предусматривает низкий уровень производительности по сравнению с желаемыми, немедленно инициируются процессы реконструкции [8]. Поэтому здесь подчеркивается, что структурный ремонт требуется только тогда, когда структурная система подвергается значительному повреждению; но такая практика неприемлема в случае сооружений стратегического значения, таких как атомные электростанции, плотины крупных водохранилищ, морские и прибрежные сооружения [9]. Следовательно, для планирования графика профилактического обслуживания, как с точки зрения времени остановки объекта, так и с точки зрения экономического планирования, мониторинг состояния конструкции используется как один из основных инструментов в области обеспечения надежности. Кроме того, мониторинг состояния конструкций также позволяет сократить долгосрочные и краткосрочные затраты на техническое обслуживание и ремонт общественных зданий; это в значительной степени приносит экономическую выгоду строительной отрасли [10, 11].
Влияние мониторинга исправности конструкций на управление их жизненным циклом
Как профилактическое, так и периодическое техническое обслуживание увеличивают срок службы систем гражданского строительства. Непрерывный мониторинг улучшает план профилактических и ремонтных мероприятий. Самое главное, он учитывает человеческие ошибки, если они были допущены. SHM также может улучшить существующие методы проектирования, устранив недостатки в процедуре проектирования. Это повышает немедленную безопасность в общественных зданиях [12, 13, 14].
Основные преимущества мониторинга состояния конструкций
Мониторинг исправности конструкций сталкивается со многими проблемами, самой большой из которых является оптимальное определение датчиков с точки зрения их выбора и типа. Следующая проблема связана с методами анализа данных и точностью извлеченных результатов. Есть несколько заметных преимуществ наблюдения за здоровьем жизни конструкций. Эти преимущества являются общими для различных конструкций, таких как сооружения гражданского строительства, механические системы, морские сооружения, морские системы, аэрокосмические системы и ядерные реакторы [15]. Преимущества перечислены следующим образом:
- Основное преимущество, заключается в том, что мониторинг состояния конструкций позволяет обновлять целостность конструкции. Это верно, если мониторинг ведется на постоянной основе.
- Ценность полезности или функциональная ценность структуры повышается. Это означает, что конструкция оптимально используется.
- Минимизация времяни простоя. Профилактическое обслуживание может быть запланировано заранее на основе мониторинга и оценки конструкции. Это очень полезно в системах морской обороны защиты.
- Повышение общественной безопасности. Например, если мониторинг состояния конструкций на мосту используется и постоянно контролируется, его функциональная способность прогнозируется или оценивается с большей точностью, чтобы избежать катастрофических отказов.
- Значительное улучшение организации обслуживания общественных структур. Можно избежать ненужного графика обслуживания. Это позволяет выполнять периодическое техническое обслуживание с упором на производительность. Это совсем недавняя тенденция, которая обеспечивает значительную экономию средств и обеспечивает инженерную эффективность при предварительном планировании технического обслуживания с точки зрения структур очень высокой стратегической важности [15, 16].
Георадар и мониторинг состояния бетонных конструкций
Существует множество методов и устройств дистанционного зондирования, которые были адаптированы для обеспечения более конкретных решений различных инженерных задач. Георадар (GPR), метод, первоначально разработанный для получения изображений подземных сред с высоким разрешением, используется для оценки состояния фундаментов, тротуаров, бетонных плит и стен. Георадар (GPR) — это технология дистанционного зондирования, которая получила признание как полезный и быстрый метод неразрушающего обнаружения искажений и типов дефектов, которые могут возникнуть на открытых или перекрытых железобетонных поверхностях. Также существует возможность его использования и в других задачах, таких как измерение толщины бетонных элементов и обнаружение пустот. Неразрушающая оценка железобетонных конструкций становится все более важной областью в строительном сообществе при мониторинге состояния конструкций в гражданском строительстве. Георадар дает возможность быстро обнаруживать и оценивать подповерхностные особенности в бетонных конструкциях совершенно неинвазивным способом и только с одним доступом к поверхности. Определение состояния арматурных стержней в бетоне стало одним из наиболее широко используемых функций георадара в гражданском строительстве [17, 18, 19].
Принципы работы георадара
Георадарные измерения основаны на прохождении и отражении электромагнитной (ЭМ) волны в исследуемой среде. Радиолокационная система заставляет антенну передатчика генерировать волновую последовательность радиоволн, которая распространяется широким лучом. Изменение электрических свойств (проводимость, σ и диэлектрическая проницаемость, є) подповерхностного слоя приводит к тому, что часть передаваемого сигнала отражается, после чего этот сигнал обнаруживается приемником, как показано на рис. 1.

Рис. 1. Отражение сигнала радара [20]
Первый импульс будет волной, проходящей непосредственно через воздух, потому что скорость воздуха больше, чем у любого другого материала, а вторым записанным импульсом будет волна, которая проходит через материал и рассеивается обратно на поверхность. Второй сигнал распространяется со скоростью, определяемой диэлектрической проницаемостью материала с «входной» волной, состоящей из прямой волны, проходящей через воздух, и «выходным» импульсом, состоящим из волны, отраженной от погребенного рассеивающего тела. «Входная» волна, состоит из прямой волны, проходящей через воздух, и «выходного» импульса, состоящего из волны, отраженной от погребенного рассеивающего тела. Запись обоих импульсов в течение определенного периода времени с помощью приемной антенной системы называется «следом», который можно рассматривать как временную диаграмму прохождения одиночного импульса от передающей антенны к приемной антенне, и включает в себя все пути его движения. Трассировка является основным измерением для всех георадарных съемок во временной области. Сканирование представляет собой трассировку, в которой к значениям амплитуды применена цветовая шкала или шкала серого [21, 22, 23].
Поведение георадара на границе раздела двух разных материалов
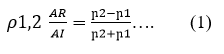
Поведение пакета электромагнитной энергии изменяется при столкновении с поверхностью раздела или границей между двумя материалами с разными диэлектрическими проницаемостями. Часть энергии отражается, а остальная часть проникает во второе вещество. Интенсивность отраженной энергии связана с плотностью среды и величиной ее диэлектрической проницаемости [24], как показано в следующих уравнениях:

ρ1,2 = коэффициент отражения на границе раздела
ր2, ր1 = волновые сопротивления материалов 1 и 2 соответственно в омах.
Для любого неметаллического материала, такого как бетон или грунт, волновое сопротивление определяется выражением:

μ0 = the magnetic permeability of air, which is 4π x10–7 Henry/ meter, and
ϵ = the dielectric constant of the material in farad/meter.
Стоит отметить, что металлы являются идеальными отражателями электромагнитных волн, т.к. их волновые сопротивления равны нулю.
Так как волновое сопротивление воздуха,

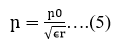
а относительная диэлектрическая проницаемость ϵr материала может быть определена как:

ϵ0 = диэлектрическая проницаемость воздуха, которая составляет 8,85 х 10-12 Фарад/метр.
Тогда уравнение 2 можно переписать как:
![]()
и уравнение 1 становится

где ϵr1 и ϵr2 — относительные диэлектрические проницаемости сред (или материалов) 1 и 2 соответственно. Уравнение 6 показывает, что, когда луч антенны георадара попадает на границу раздела двух материалов, величина коэффициента отражения (ρ1,2) определяется значениями относительных диэлектрических проницаемостей двух материалов. Если материал 2 имеет большую относительную диэлектрическую проницаемость, чем материал 1, то (ρ1,2) будет иметь отрицательное значение, т. е. с абсолютным значением, указывающим на относительную силу отраженной энергии, и отрицательным знаком, указывающим на то, что полярность отраженной энергии противоположна произвольно установленной для падающей энергии [21, 22, 23].
Методология мониторинга состояния конструкции
Рейтинг мониторинга состояния конструкции в первую очередь основан на методах, используемых для обнаружения повреждений. Существует четыре уровня определения повреждений: первый уровень, который фокусируется на определении повреждений конструкции; второй уровень, который выделяет геометрию повреждения; III уровень, определяющий тяжесть повреждения; и уровень IV, который прогнозирует срок службы (остаточный) конструкции после того, как произошло повреждение. В зависимости от уровня повреждения мониторинг состояния конструкции может осуществляться в четыре этапа: (i) эксплуатационная оценка; (ii) сбор данных; (iii) извлечение информации и обработка данных; и (iv) принять решение и определить соответствующее лечение [15, 16, 26]. Как показано на рис. 2.

Рис. 2. Методология мониторинга состояния конструкции
Область исследования
Это исследование проводилось в двух местах, первое: вдоль коридора первого и второго этажей строительного факультета / Технологического университета / Багдад - Ирак. Второй участок на фундаменте сантехнического узла в Технологическом университете / Багдад - Ирак. Длина исследованных участков составляет 27 и 20 м на двух участках соответственно. Использованы технологии георадара и доступных антенн 250 и 500 МГц
Мониторинг, результаты и обсуждение
В нескольких исследованиях, связанных с изучением железобетона и его состояния, предлгается использование антенн с высокой частотой (>800 МГц). Однако в настоящем исследовании для оценки способности исследовать железобетон, определения его состояния, а также визуализации сети армированных стальных стержней в бетонных элементах и исследования их исправности были использованы антенны промежуточной частоты (250 и 500 МГц) (антенны, доступные в лаборатории). Используя антенну 500 МГц в коридоре первого участка (2-й этаж Строительного отдела), армированные стержни были показаны вместе в виде телескопического изображения с помощью программного обеспечения RadExplorer, как показано на рис. 3.

Рис. 3. Армированные стержни на крыше первой площадки / Факультет гражданского строительства / Технологический университет с использованием антенны 500 МГц
Но с антенной 250 МГц, стальные стержни можно отличить по их количеству и расположению в сканируемом радаре. Бетон выглядел в хорошем состоянии, в нем не было трещин или зазоров, а структурные швы выглядели очень четко, как показано на рис. 4.

Рис. 4. Армированные стержни на потолке первой площадки / Факультет гражданского строительства / Технологический университет с использованием антенны 250 МГц
Эти стержни в фундаменте второго участка крупнее с большим расстоянием между стержнями (рис. 5).

Рис. 5. Армированные стержни в фундаменте второго участка / сантехнического узла / Технологического университета на частоте 500 МГц
Аналогичным образом при использовании антенны на 250 МГц также отчетливо видны усиленные стержни (рис. 6).

Рис. 6. Армированные стержни в фундаменте второго участка / Факультет гражданского строительства / Технологический университет с использованием антенны 250 МГц
Бетон также находится в хорошем состоянии, внутренних зазоров и трещин нет.
Выводы
Из приведенных выше результатов и обсуждений следует, что для изучения любой заметной структуры лучше использовать разные частоты антенн, чтобы получить лучшее изображение карты недр наблюдаемой структуры. Полученные данные также показывают возможности георадара в предоставлении четкой картины состояния здоровья контролируемой бетонной конструкции, определении качества бетона и предоставлении четкого видения лицам, принимающим решения, и тем, кто занимается мониторингом состояния здоровья контролируемой конструкции.
1. Facilities management: the strategic selection of a maintenance system / Kym Fraser // Journal of Facilities Management Vol. 12 No. 1 pp. 18-37 (2014).
2. Managing Infrastructure Assets for Sustainable Development [Text] / Navid hanif & others // A Handbook for Local and National Governments / Sales No. E. 20.I.15 United Nations (2021) ISBN 978-92-1-101433-4.
3. Major barriers to the enforcement and violation of building codes and regulations: a global perspective / Funke F. Fakunle, Chibuzo Opiti, Ahmed A. Sheikh and Adebayo A. Fashina // SPC Journal of Environmental Sciences Vol. 2, No. 1 pp. 12-18 (2020).
4. Global overview on advances in structural health monitoring platforms / Esequiel Mesquita, Paulo Antunes, Francisco Coelho, Paulo Andre, Anto´nio Areˆde and Humberto Varum // Journal of Civil Structural Health Monitoring (2016) / DOIhttps://doi.org/10.1007/s13349-016-0184-5. EDN: https://elibrary.ru/VTKGUM
5. Structural Health Monitoring in Composite Structures: A Comprehensive Review / Sahar Hassani, Mohsen Mousavi and Amir H. Gandomi // Sensors Vol. 22, No.153 pp. 1-45 (2021).
6. Structural health monitoring (SHM) and Nondestructive testing (NDT) of slender masonry structures: A practical review / Francisco J. Pallarés, Michele Betti, Gianni Bartoli and Luis Pallarés // Construction and Building Materials 297 pp.1-33 (2021).
7. An Overview on Structural Health Monitoring: From the Current State-of-the-Art to New Bio-inspired Sensing Paradigms / Maria-Giovanna Masciottaa, Alberto Barontinia, Luís F. Ramosa, Paulo Amado-Mendesb and Paulo B. Lourenço // International Journal of Bio-Inspired Computation pp.1-55 (2018) DOI:https://doi.org/10.1504/IJBIC.2018.10020764.
8. Designing a Structural Health Monitoring System Accounting for Temperature Compensation / Valeria Francesca Caspani, Daniel Tonelli, Francesca Poli and Daniele Zonta // Infrastructures Vol.5, No.7 pp. 1-24 (2022).
9. Structural Health Monitoring Using Smart Sensors / Tomonori Nagayama and Billie F. Spencer, Jr. // The Newmark Structural Engineering Laboratory pp.1-186 (2007).
10. Structural Health Assessment: Opportunities and Challenges / Achintya Haldar and Abdullah Al-Hussein // World Scientific Publishing Company pp.1-34 (2022).
11. Structural Health Monitoring and Management with Unmanned Aerial Vehicles / Medha Kapoor, Evangelos Katsanos, Lazaros Nalpantidis, Jan Winkler and Sebastian Thöns // DTU, Department of Civil Engineering, ISBN: 87-7877-556-6 (2021).
12. Approach for the life-cycle management of structures including durability analysis, shm and maintenance planning / Peter Furtner and Robert Vett Egeger // IABSE Symposium Report pp.1-8 (2014).
13. Life cycle management of concrete structures with respect to reinforcement corrosion and concrete deterioration / T.F. Mayer, C. Sodeikat and A. Schiessl-Pecka // Korea Concrete Institute Seoul Proceedings of FraMCoS-7 5 pp. 1056-1061 (2010) ISBN 978-89-5708-181.
14. Life-Cycle and Sustainability of Civil Infrastructure Systems [Text] / Alfred Strauss, Dan M. Frangopol and Konrad Bergmeister // Taylor & Francis Group London pp. 1-511 (2013) ISBN 978-0-415-62126-7.
15. Sensors for Structural Health Monitoring and Condition Monitoring / Francesc Pozo Diego Alexander Tibaduiza Burgos and Yolanda Vida // ISBN 978-3-0365-1137-5 pp.1-400 (2021).
16. Structural monitoring and identification of civil infrastructure in the United States / Satish Nagarajaiah and Kalil Erazo // Structural Monitoring and Maintenance Vol. 3 No. 1 pp.51-69 (2016).
17. Ground penetrating radar (GPR) applications in concrete pavements / Alireza Joshaghani & Mehran Shokrabadi // International Journal of Pavement Engineering pp.1-30 (2021) DOI:https://doi.org/10.1080/10298436.2021.1954182.
18. Non-Destructive testing of concrete with ground penetrating radar [Text] / Elias Hammarström // Luleå University of Technology Department of Civil, Environmental and Natural Resources Engineering pp.1-66 (2019).
19. Non-Destructive Corrosion Inspection of Reinforced Concrete Using Ground-Penetrating Radar: A Review / Ksenija Teši, Ana Bariˇcevi´ and Marijana Serdar // Materials Vol. 14 No. 975 pp.1-20 (2021).
20. https://aigeos.ru/georadiolokacionnye-issledovaniya.
21. Ground Penetrating Radar [Text] / Martin Robinson, Charlie Bristow, Jennifer McKinley and Alastair Ruffell // Geomorphological Techniques Part 1 Sec. 5.5 pp.1-26 (2013) ISSN 2047-0371.
22. Introduction of a Ground Penetrating Radar System for Subsurface Investigation in Balik Pulau, Penang Island / YJ Teoh, MA Bruka, NM Idris, NA Ismail, and NM Muztaza // Journal of Physics: Conf. Series 995 pp.1-8 (2018).
23. A Study of the Application and the Limitations of GPR Investigation on Underground Survey of the Korean Expressways / Ji-Young Rhee, Keon-Tae Park, Jin-Woo Cho and Sang-Yum Lee // Remote Sens. Vol.13 1805 pp.1-23 (2021).
24. Effect of electromagnetic parameters of the medium on the GPR data / Mohammed Hamdaoui, Ahmed Faize, Majid Rochdi and Gamil Alsharahi // International Journal of Emerging Trends in Engineering Research Vol. 8. No. 5 pp.1749-1755 (2020). DOI: https://doi.org/10.30534/ijeter/2020/42852020; EDN: https://elibrary.ru/CSPAJN
25. Simulation Study on Image Characteristics of Typical GPR Targets in Water Conservancy Projects / Jie Cao, Baoyuan Yuan and Yun Bai // Hindawi Geofluids Vol. 2021 pp. 1-13 (2021) Article ID 5550620.
26. Review of Structural Health Monitoring Methods Regarding a Multi-Sensor Approach for Damage Assessment of Metal and Composite Structures / Christoph Kralovec and Martin Schagerl // Sensors 20 826 pp. 1-25 (2021).




