from 01.01.2010 until now
Russian Federation
VAK Russia 08.00.10
VAK Russia 08.00.12
VAK Russia 08.00.13
VAK Russia 08.00.14
UDC 338
UDC 339
The article discusses the current problems of food security of the Russian Federation. The influence of the policy of unfriendly states on the food security of Russia is analyzed, as well as anti-sanctions measures aimed at maintaining the economy and ensuring food security of the Russian Federation are presented. The growth rates of agricultural exports are calculated, and the dynamics of the gross harvest of the main types of agricultural crops in the whole country is presented.
food security, agricultural products, exports, unfriendly states, anti-sanctions measures, gross harvest of agricultural products
2022 год дал начало новому кризису, через который приходится проходить России и мировом сообществу. Экономика как России, так и мира не успела еще окрепнуть от влияния эпидемии COVID-19, которая уже на протяжении трех лет истощает граждан и бизнес, как против России рядом недружественных стран были выдвинуты пакеты санкций из-за официального признания Россией ДНР и ЛНР посредством подписания документов о признании Донецкой и Луганской народных республик [1,2,3,4]. Ратификации этого события послужил восьмилетний Вооружённый конфликт в Донбассе, жители которого подвергаются издевательствам и геноциду [5] со стороны киевского режима из-за нежелания их признания как независимых республик и территориального отделения из состава Украины. В соответствии с подписанными указами президентом РФ Путиным В.В. Россия начала специальную военную операцию по демилитаризации и денацификации Украины. В ответ на действия России Соединенные Штаты Америки, страны Евросоюза и ряд других стран активно начали вводить различного рода санкции против России, и поэтому вошли в разряд «недружественных государств» по отношению к РФ.
Официально понятие «недружественное государство» в России впервые было употреблено в Федеральном законе от 4 июня 2018 г. N 127-ФЗ "О мерах воздействия (противодействия) на недружественные действия Соединенных Штатов Америки и иных иностранных государств" [6] в соответствии с которым данное понятие трактуется как защита интересов и безопасности Российской Федерации, ее суверенитета и территориальной целостности, прав и свобод граждан Российской Федерации от недружественных действий со стороны иностранных государств. В данном случае к недружественным действиям относятся как политические, так и экономические санкции против физических и юридических лиц Российской Федерации, а также совершение других действий, представляющих угрозу территориальной целостности Российской Федерации или направленных на экономическую и политическую дестабилизацию Российской Федерации [6]. В список недружественных стран в соответствии с Распоряжением Правительства РФ №430-р от 5.03.2022 года [7] были отнесены следующие страны: Соединенные Штаты Америки, Великобритания, Государства - члены Европейского союза, Япония, Австралия, Албания, Андорра, Исландия, Канада, Лихтенштейн, Микронезия, Монако, Новая Зеландия, Норвегия, Республика Корея, Сан-Марино, Северная Македония, Сингапур, Тайвань (Китай), Украина, Черногория, Швейцария. На апрель 2022 года против России введены пять пакетов санкций. Они включают в себя:
- персональные санкции против Владимира Путина и членов Правительства Российской Федерации;
- масштабные ограничения финансовой системы России (включая Центробанк и крупнейшие банки);
- закрытие воздушного пространства и морских портов;
- ограничения деятельности отдельных отраслей экономики, ряда российских компаний и крупнейших предпринимателей.
Также следует отметить, что со стороны недружественных государств происходит постоянное обновление списка подсанкционных лиц. В настоящее время Россия является мировым лидером по количеству наложенных санкций.
В ответ на санкции недружественных государств и противоречащие международному праву действия США и примкнувших к ним иностранных государств и международных организаций Россией были введены антисанкционные меры [8]. Они были предприняты для поддержки экономики страны, ее граждан, а также в целях обеспечения продовольственной безопасности. Правительство РФ постановило установить ряд запретов на вывоз из страны некоторых сельскохозяйственных товаров, которые позволят стабилизировать цены на значимую сельскохозяйственную продукцию на внутреннем рынке.
Таблица 1 - Антисанкционные меры в сфере таможенного регулирования (группа вывоз товаров) по поддержанию экономики и обеспечению продовольственной безопасности РФ
|
Сельскохозяйственная продукция |
Антисанкционная мера |
Регламентирующий документ |
|
Масло подсолнечное, жмых подсолнечный |
С 15 апреля по 31 августа 2022 г. включительно установлено количественное ограничение на вывоз за пределы территории РФ в государства, не являющиеся членами ЕАЭС, масла подсолнечного в объеме 1500000 тонн, жмыхов и других твердых остатков из семян подсолнечника в объеме 700000 тонн. |
Постановление Правительства РФ от 31 марта 2022 г. N 548
В отношении указанных ограничений предусмотрен ряд исключений
|
|
Соевый шрот |
С 1 апреля по 31 августа 2022 г. включительно убытие с территории РФ соевого шрота, вывозимого автомобильным, железнодорожным и водным транспортом, осуществляется только из определенных установленных пунктов пропуска через государственную границу Российской Федерации. |
Постановление Правительства РФ от 31 марта 2022 г. N 533
Приложение к постановлению Правительства Российской Федерации от 31 марта 2022 г. N 533
Для вывоза указанных товаров предусмотрен ряд исключений |
|
Подсолнечный шрот |
Ставка вывозной таможенной пошлины на подсолнечный шрот, вывозимый из РФ за пределы таможенной территории ЕАЭС, рассчитывается Министерством сельского хозяйства РФ по следующей формуле:
Ст = (Цэ - 185 долларов США)*0,7,
где Ц э - индикативная цена за 1 тонну подсолнечного шрота, рассчитанная в соответствии с пунктом 5 настоящего Положения.
При отрицательном значении С т, получаемом при расчете в соответствии с настоящим пунктом, С т принимается равной нулю. |
Постановление Правительства РФ от 31 марта 2022 г. N 532
Постановление Правительства РФ от 31 марта 2022 г. N 532 |
|
Масличный лен |
С 1 мая по 31 августа 2022 года в отношении масличного льна, вывозимого из России за пределы ЕАЭС, устанавливается таможенная пошлина в размере 20%, но не менее 100 долларов США за тонну |
Постановление Правительства РФ от 31 марта 2022 г. N 531
|
|
Соевые бобы |
С 1 апреля по 31 августа 2022 г. включительно убытие с территории РФ соевых бобов, вывозимых автомобильным, железнодорожным и водным транспортом, осуществляется только из пунктов пропуска через государственную границу Российской Федерации. |
Постановление Правительства РФ от 31 марта 2022 г. N 530
Постановление Правительства РФ от 31 марта 2022 г. N 530
Для вывоза указанных товаров предусмотрен ряд исключений
|
|
Семяна подсолнечника и рапса |
С 1 апреля по 31 августа 2022 года вводится временный запрет на экспорт семян подсолнечника и рапса. |
Постановление Правительства России от 31.03.2022 N 529
Для вывоза указанных товаров предусмотрен ряд исключений |
|
Удобрения |
До 31 мая 2022 года включительно увеличены действующие экспортные квоты для российских производителей минеральных удобрений
До 1 мая 2022 года продлевается временный запрет на вывоз аммиачной селитры за пределы ЕАЭС (он был введён 1 февраля и должен был действовать до 1 апреля). |
Постановление Правительства России от 15.04.2022 N 670
Постановление Правительства России от 26.03.2022 N 472
Для вывоза указанных товаров предусмотрен ряд исключений |
|
Зерновые (пшеница и меслин семенные, рожь семенная, ячмень семенная, кукуруза семенная и кукуруза лопающаяся) |
С 15 марта по 30 июня 2022 года вводится временный запрет на вывоз зерновых культур за пределы территории РФ, кроме стран ЕАЭС наличии разрешения, выданного Минсельхозом. |
Постановление Правительства России от 31.03.2022 N 528
Для вывоза зерна предусмотрен ряд исключений |
|
Сахар |
С 15 марта по 31 августа 2022 г. включительно вводится временный запрет на вывоз сахара белого и сахара-сырца тростникового за пределы РФ |
Постановление Правительства России от 14.03.2022 N 361, Информация Минэкономразвития России от 15.03.2022
Для вывоза сахара предусмотрен ряд исключений |
|
Пестициды и агрохимикаты |
До 1 июля 2022 г. разрешен ввоз в РФ пестицидов и агрохимикатов через любые пункты пропуска через государственную границу Российской Федерации |
Указ Президента РФ от 18 апреля 2022 г. N 210 |
Представленные в таблице 1 поддерживающие антисанкционные меры, помимо стабилизации экономики России и обеспечения ее продовольственной безопасности оказывают негативное влияние на страны, в которые запрещен ввоз этой продукции. Российскую Федерацию, входящую в первую десятку сильнейших экономик мира, невозможно безболезненно исключить из мирового хозяйства без потерь для собственных экономик недружественных государств. На сегодняшний день Россия является ключевым поставщиком зерна на мировом рынке и находится на 17 месте в рейтинге основных мировых экспортеров продовольствия. Европейский союз является крупнейшим торговым партнером России в области сельскохозяйственной продукции, и это сотрудничество имеет долгую историю. Также основными покупателями являются Китай, Турция, Египет, Южная Корея, Узбекистан, Украина, Индия, Норвегия, Азербайджан. Всего Россия экспортирует сельскохозяйственную продукцию в 157 стран Мира. По данным подведомственного Минсельхозу центра «Агроэкспорт» в 2021 году страны Евросоюза обогнали Китай и заняли первое место по импорту продовольствия из России. Поставки продукции АПК в ЕС в 2021 году выросли на 40 % до 4,484 млрд долл., что в общей структуре экспорта России составляет 13,1% [9].
Таблица 2 – Экспорт сельскохозяйственной продукции России *
|
Сельскохозяйственная продукция |
2019 г. |
2020 г. |
2021 г. |
Темп роста 2021 г. к 2019 г. |
|||
|
млн. долл. |
тыс. тонн |
млн. долл. |
тыс. тонн |
млн. долл. |
тыс. тонн |
% |
|
|
Зерновые |
7937,0 |
39476,3 |
10161,6 |
48893,1 |
11440,7 |
43074,9 |
144,1 |
|
Масложировая продукция |
4069,2 |
7221,3 |
4922,4 |
8072,0 |
7297,5 |
7652,2 |
179,3 |
|
Мясная и молочная продукция |
882,3 |
520,9 |
1203,7 |
732,2 |
1578,2 |
775,4 |
178,9 |
|
Продукция пищевой и перерабатывающей промышленности |
3990,0 |
9178,2 |
4497,3 |
9471,9 |
5192,9 |
9289,1 |
130,1 |
|
Прочая продукция АПК |
3286,5 |
7494,9 |
4440,9 |
9531,5 |
4952,6 |
8199,8 |
150,7 |
|
Рыба и морепродукты |
5442,8 |
2127,1 |
5330,2 |
2262,1 |
6678,3 |
2076,8 |
122,7 |
* Составлено автором на основе данных ФТС России, Росстата и Федерального центра развития экспорта продукции АПК Минсельхоза России

Рисунок 1 – Экспорт сельскохозяйственной продукции России, млн. долл.
Представленные данные в таблице 2 демонстрируют положительную динамику экспорта за последние годы, что также подтверждает растущий спрос со стороны зарубежных стран на сельскохозяйственную продукцию России. Средний темп роста по сельскохозяйственной продукции составил в 2021 году 150%, что в 1,5 раза больше, чем в 2019 году. Исходя из этого следует утверждать, что российская сельскохозяйственная экономика глубоко интегрирована в мирохозяйственные связи и введенные ответные меры России по ограничению экспорта сельхозпродукции существенно скажутся на недружественных странах, нанеся им значительный ущерб. По данным Продовольственной и сельскохозяйственной организации ООН повсеместное подорожание продовольственной продукции за рубежом ожидается от 8 до 22%. Оно обусловлено не только дефицитом зерновых, но и подорожанием топлива и азотных удобрений, на поставки которых Россия также установила ограничения. В течение этого года прогнозируется дальнейший рост цен в недружественных государствах на продовольственные товары ещё более быстрыми темпами, оценить которые на данный момент достаточно сложно из-за высокой неопределенности внешнеэкономической и внешнеполитической ситуаций. И ключевым фактом в данной ситуации является не просто увеличение стоимости продукции, а предстоящий дефицит продовольственных товаров. Избежать дефицита будет практически невозможно несмотря на то, что многие страны уже активно ищут альтернативных поставщиков зерна, так как заменить Россию и Украину, которые являются лидерами мирового рынка, нельзя.
Что касается внутреннего рынка России, то следует отметить, что на текущий момент времени сложностей с импортными поставками практически не возникает. Это обуславливается, во-первых, достаточным запасом импортных семян, так как они были закуплены заранее (по данным Минсельхоза РФ, обеспеченность зерном в России превышает 150%), во-вторых, посевная кампания в текущем году началась гораздо раньше прошлогодней (к 15 марта яровые культуры были посеяны на 235 тыс. га.), в -третьих, по мнению самих аграриев, поставки, которые были отменены, можно будет заменить российскими аналогами [10]. На сегодняшний день в России функционирует межведомственный Координационный совет, задачей которого является развитие селекции и семеноводства отечественных сельскохозяйственных культур. Совет ориентирует аграриев на увеличение использования семян отечественной селекции и развитие эффективных механизмов в данном секторе [11].

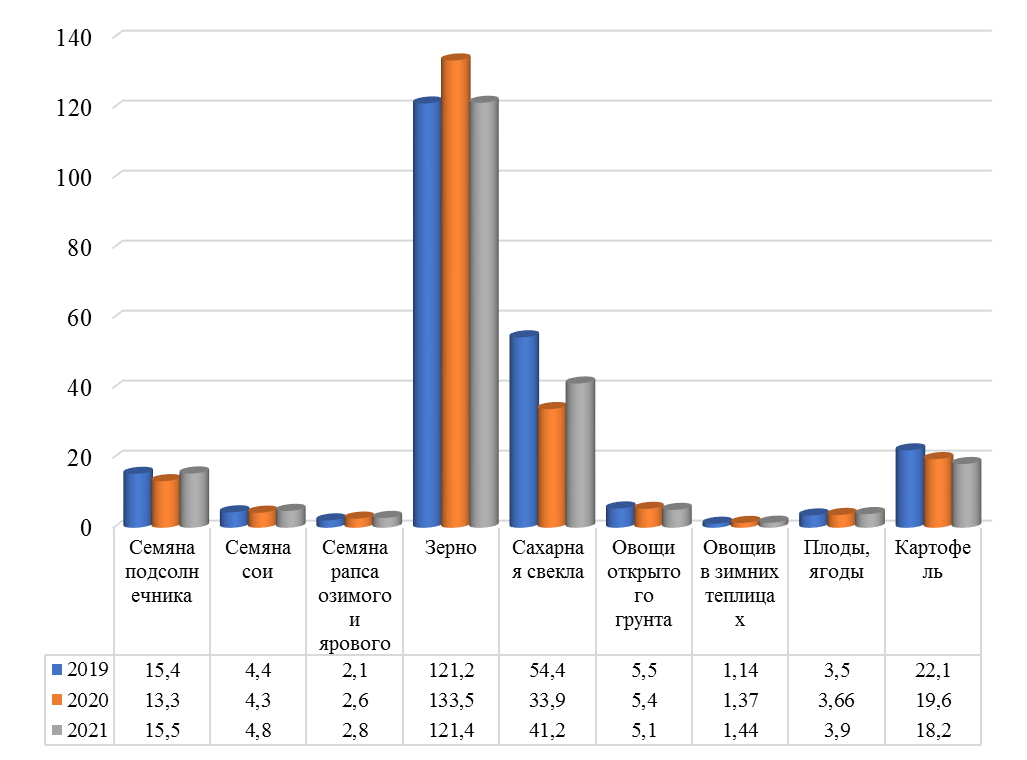
Рисунок 2 - Динамика валового сбора основных видов сельскохозяйственных культур в хозяйствах всех категорий России, млн.т.*
*Составлено автором на основе данных итоговых докладов о результатах деятельности Минсельхоза России за 2019, 2020 и 2021 годы [12,13,14]
Полученные данные свидетельствуют об увеличении валового сбора в 2021 году по таким видам сельхозкультур как семена подсолнечника, сои, рапса, сахарной свеклы, овощей в зимних теплицах, плодов и ягод. Проседание некоторых видов культур в 2020 году было связано с погодными условиями, но несмотря на это, по оценке Минсельхоза России были достигнуты или превышены плановые значения уровня самообеспечения, предусмотренные в Доктрине Продовольственной безопасности.
Однако следует отметить, что удельный вес импортных семян даже при усредненных оценках достаточно высокий особенно по подсолнечнику – он снизился за 2018-2021гг. с 42,53 % до 27,33% (↓ 15,2%), по картофелю - возрос 35,41 до 38,72% (↑ 3,31%), по сахарной свекле - снизился 20,63% до 18% (↓ 2,63%). При этом, если для сахарной свёклы сокращение импорта семян соответствует сокращению размеров посевных площадей, то для льна при сокращение посевных площадей на 11,11%, объемы импорта семян возросли в 3,47 раз. Для картофеля также импорт семян сократилось с меньшими темпами чем посевные площади под картофелем [15]. Данный факт свидетельствует о высокой зависимости России от зарубежных семян, что негативно скажется на посевном сезоне в 2023 году. Тем не менее еще есть время для поиска путей решения данной проблемы.
В 2022 году Министерством Сельского хозяйства планируется увеличить посевные площади на 1 млн г и довести данный показатель до 81,3 млн га в сравнении с прошлым 2021 годом. А собрать Минсельхоз рассчитывает собрать 123 млн тонн зерна (по заявлению министра сельского хозяйства РФ Дмитрия Патрушева в ходе совещания президента РФ Владимира Путина с кабмином). Однако, особо важной проблемой на сегодняшний день является разрыв логистических цепочек и дефицит посевного материала на будущий сезон в 2023 г.
Несмотря на удовлетворительную ситуацию в агропромышленном комплексе, помимо представленных выше антисанкцинных мер, Правительство Российской Федерации разработало дополнительный поддерживающий комплекс для аграриев в целях обеспечения продовольственной безопасности сраны:
- из резервного фонда РФ выделено 26 млрд руб. на субсидии российским кредитным организациям на возмещение недополученных ими доходов по кредитам, выданным по льготной ставке системообразующим организациям и (или) их дочерним обществам, занятым в АПК, на ведение операционной деятельности [16];
- отсрочка платежей на полгода по льготным инвестиционным кредитам, срок договоров по которым истекает в 2022 году и возможность пролонгации срока кредита ещё на один год для краткосрочных льготных займов, срок договоров по которым также истекает в 2022 году [17];
- дополнительно будет выделено не менее 153 млрд рублей на кредиты аграрии, а центрам селекции и - не менее 5 млрд рублей [18];
- из федерального бюджета правительство выделяет 10 млрд рублей на возмещение части затрат на производство и реализацию зерновых культур [19].
В ближайшем году сельхозпроизводители смогут покрыть свои убытки, уменьшить размер ежемесячных платежей и снизить кредитную нагрузку. Из приведенных данных становится совершенно очевидным, что в краткосрочной перспективе Российская Федерация полностью позаботилось о наличии продовольствия на внутренних рынках страны и обеспеченности граждан необходимыми агропромышленными продуктами, которые являются основой обеспечения продовольственной безопасности.
В заключении следует отметить, что современные проблемы обеспечения продовольственной безопасности в России сводятся в первую очередь к проблемам с логистикой и зависимости агропромышленного комплекса от импорта семян. Однако, имеющийся потенциал России и государственная поддержка создает широкие возможности для импортозамещения в сельском хозяйстве и развития отечественного АПК, тем самым противодействуя угрозам, возникающим со стороны недружественных государств. Правительство постоянно разрабатывает и внедряет актуальные мероприятия по поддержке экономики страны для минимизации ущерба от вводимых против нее санкций.
1. Ukaz Prezidenta Rossijskoj Federacii ot 21.02.2022 № 72 "O priznanii Luganskoj Narodnoj Respubliki" [E`lektronny`j resurs] - Dostup iz sistemy` GARANT // E`PS "Sistema GARANT": URL: http://ivo.garant.ru/#/document/403557794/paragraph/1/doclist/2203/showentries/0/highlight/Ukaz%20Prezidenta%20Rossijskoj%20Federacii%20ot%2021.02.2022%20№%2072%20"O%20priznanii%20Luganskoj%20Narodnoj%20Respubliki":1
2. Ukaz Prezidenta Rossijskoj Federacii ot 21.02.2022 № 71 "O priznanii Doneczkoj Narodnoj Respubliki" E`lektronny`j resurs] - Dostup iz sistemy` GARANT // E`PS "Sistema GARANT": URL: http://ivo.garant.ru/#/document/403557792/paragraph/1/doclist/2241/showentries/0/highlight/Ukaz%20Prezidenta%20Rossijskoj%20Federacii%20ot%2021.02.2022%20№%2071%20"O%20priznanii%20Doneczkoj%20Narodnoj%20Respubliki":3
3. Federal`ny`j zakon ot 22 fevralya 2022 g. N 16-FZ "O ratifikacii Dogovora o druzhbe, sotrudnichestve i vzaimnoj pomoshhi mezhdu Rossijskoj Federaciej i Luganskoj Narodnoj Respublikoj" E`lektronny`j resurs] - Dostup iz sistemy` GARANT // E`PS "Sistema GARANT": URL: http://ivo.garant.ru/#/document/403561128/paragraph/1/doclist/2250/showentries/0/highlight/O%20ratifikacii%20Dogovora%20o%20druzhbe,%20sotrudnichestve%20i%20vzaimnoj%20pomoshhi%20mezhdu%20Rossijskoj%20Federaciej%20i%20Luganskoj%20Narodnoj%20Respublikoj:5
4. Federal`ny`j zakon ot 22 fevralya 2022 g. N 15-FZ "O ratifikacii Dogovora o druzhbe, sotrudnichestve i vzaimnoj pomoshhi mezhdu Rossijskoj Federaciej i Doneczkoj Narodnoj Respublikoj" E`lektronny`j resurs] - Dostup iz sistemy` GARANT // E`PS "Sistema GARANT": URL: http://ivo.garant.ru/#/document/403561126/paragraph/1/doclist/2281/showentries/0/highlight/O%20ratifikacii%20Dogovora%20o%20druzhbe,%20sotrudnichestve%20i%20vzaimnoj%20pomoshhi%20mezhdu%20Rossijskoj%20Federaciej%20i%20Doneczkoj%20Narodnoj%20Respublikoj:7
5. Putin ob``yavil o special`noj voennoj operacii v Donbasse // Redakciya zhurnala RBK. 2022. URL: https://www.rbc.ru/politics/24/02/2022/6216f2859a79474c63d4019b
6. Federal`ny`j zakon ot 4 iyunya 2018 g. N 127-FZ "O merax vozdejstviya (protivodejstviya) na nedruzhestvenny`e dejstviya Soedinenny`x Shtatov Ameriki i iny`x inostranny`x gosudarstv" E`lektronny`j resurs] - Dostup iz sistemy` GARANT // E`PS "Sistema GARANT": URL: http://ivo.garant.ru/#/document/71958400/paragraph/2/doclist/346/showentries/0/highlight/fz%20127-fz:6
7. Rasporyazhenie Pravitel`stva RF ot 5 marta 2022 g. N 430-r Perechen` inostranny`x gosudarstv i territorij, sovershayushhix v otnoshenii Rossijskoj Federacii, rossijskix yuridicheskix licz i fizicheskix licz nedruzhestvenny`e dejstviya E`lektronny`j resurs] - Dostup iz sistemy` GARANT // E`PS "Sistema GARANT": URL: http://ivo.garant.ru/#/document/403615676/paragraph/1/doclist/1422/showentries/0/highlight/RF%20№430-r%20ot%205.03.2022:1
8. Antisankcionny`e mery` 2022 (special`ny`e e`konomicheskie mery` i mery`, napravlenny`e na podderzhku biznesa i grazhdan) E`lektronny`j resurs] - Dostup iz sistemy` GARANT // E`PS "Sistema GARANT": URL: http://ivo.garant.ru/#/document/57750630/paragraph/2136/doclist/15/showentries/0/highlight/nedruzhestvenny`e%20strany`:0
9. Departament razvitiya e`ksporta produkcii APK. OPERATIVNY`J OBZOR E`KSPORTA PRODUKCII APK // Ministerstvo sel`skogo xozyajstva Rossijskoj Federacii. 2020. URL: https://mcx.gov.ru/upload/iblock/07e/07ead3e9aad3f434144873880281f133.pdf/
10. Agrarii RF gotovyatsya k provedeniyu seva v novy`x usloviyax. Obzor // Interfaks. 2022. URL: https://www.interfax.ru/business/829602
11. Lukomecz, A. V. Semenovodstvo v obespechenii resursnogo ry`nka APK i metody` ego zashhity` / A. V. Lukomecz // Fundamental`ny`e i prikladny`e issledovaniya kooperativnogo sektora e`konomiki. - 2021. - № 2. - S. 134-141. - DOIhttps://doi.org/10.37984/2076-9288-2021-2-134-141. - EDN VNGATF.
12. Itogovy`j doklad o rezul`tatax deyatel`nosti Minsel`xoza Rossii za 2019 god // Ministerstvo sel`skogo xozyajstva Rossijskoj Federacii. 2020. URL: https://mcx.gov.ru/upload/iblock/0f3/0f3d221e501319593191f6b39cbf0149.docx
13. Itogovy`j doklad o rezul`tatax deyatel`nosti Minsel`xoza Rossii za 2020 god // Ministerstvo sel`skogo xozyajstva Rossijskoj Federacii. 2021. URL: https://mcx.gov.ru/upload/000/Itogovy`j%20doklad.pdf
14. Itogovy`j doklad o rezul`tatax deyatel`nosti Minsel`xoza Rossii za 2021 god. // Ministerstvo sel`skogo xozyajstva Rossijskoj Federacii. 2022. URL: https://mcx.gov.ru/upload/iblock/aed/aed85b58433e872aa1848ad211ced148.pdf
15. Lukomecz, A. V. Import semyan v rossijskuyu Federaciyu / A. V. Lukomecz // E`konomika, trud, upravlenie v sel`skom xozyajstve. - 2021. - T. 2. - № 12(82). - S. 146-150. - DOIhttps://doi.org/10.33938/21122-146. - EDN TMGVON.
16. Rasporyazhenie Pravitel`stva RF ot 18 marta 2022 g. № 532-r. URL: https://www.garant.ru/products/ipo/prime/doc/403622622/
17. Postanovlenie Pravitel`stva Rossijskoj Federacii ot 03.03.2022 № 280. URL: http://publication.pravo.gov.ru/Document/View/0001202203040003
18. Kira Latuxina. Putin nazval pyat` mer podderzhki agrariev. Glavnoe // Internet-portal «Rossijskoj gazety`». 2022. URL: https://rg.ru/2022/04/05/putin-nazval-piat-mer-podderzhki-agrariev-glavnoe.html
19. Na kompensaciyu rasxodov pri proizvodstve i realizacii zerna vy`delyat 10 mlrd rublej // Interfaks. 2022. URL: https://www.interfax.ru/russia/837179



