Москва, г. Москва и Московская область, Россия
Россия
В практике современного строительства находят применение легкие бетоны низкой теплопроводности в качестве теплоизоляционного слоя ограждающих конструкций. В частности, они используются для утепления плоских кровель зданий различного назначения. Одним их эффективных способов устройства теплоизоляции является использование полистиролбетона низкой средней плотности и теплопроводности непосредственно в построечных условиях. Исследованиями установлены рациональный подбор состава этого вида бетона для устройства монолитного теплоизоляционного слоя, ресурсное обеспечение технологического процесса, включая механизацию работ и квалификационные требования к исполнителям. Совершенствование организационно-технологических решений плоских кровель на основе выбора рациональных параметров технологических процессов и операций обеспечивает сокращение трудоемкости, продолжительности и стоимости производства работ на строительной площадке.
ремонт мягких кровель, полистиролбетон для утепления рулонных кровель, организационно-технологическое моделирование, упорядочение технологических операций, функциональное моделирование технологических процессов
Введение
Приоритетным направлением развития российской и мировой экономики является экономия топливно-энергетических ресурсов, повышение эффективности тепловой защиты зданий и сооружений, а также промышленных объектов [1-3]. Этому способствует внедрение энергоэффективных технологий и материалов [4-6]. Наиболее перспективными являются технологии применения низкотеплопроводных легких бетонов в качестве теплоизоляционного слоя ограждающих конструкций, который способен обеспечить не только высокий уровень теплозащиты, но и пролонгированный безремонтный срок службы [7,8]. Из них наиболее распространен в практике отечественного строительства полистиролбетон, физико-механические свойства которого всесторонне изучены и занормированы [9-11].
Разработана, всесторонне исследована и внедрена технология использования полистиролбетона и других видов низкотеплопроводных легких бетонов в ограждающих конструкциях индустриального изготовления [12,13]. Известен опыт применения полистиролбетона при производстве работ по устройству теплоизоляционных слоев наружных стен в монолитном домостроении [14].
Для использования в практике организационно-технологического проектирования и строительства зданий из монолитного железобетона технологии устройства теплоизоляционного слоя кровельных покрытий из
полистиролбетона необходимо исследовать и установить рациональные технологические параметры функционально и организационно связанных технологических процессов и операций.
Материалы и методы
Технологический процесс устройства теплоизоляционного слоя из полистиролбетона для плоских кровельных покрытий осуществляется непосредственно на строительной площадке. В состав бетона входит цемент, гранулы полистирола (пенопласта), пенообразователь СДО и вода. Соотношение пропорций ингредиентов выбирается исходя из технических требований, предъявляемых к полистиролбетонной теплоизоляционной стяжке. Для полистиролбетона плотностью 200 кг/м3 на один кубометр гранул полистирола устанавливается расход цемента 180 кг/м3. Полученная смесь подается пневмонагнетателем на кровлю по шлангам высокого давления на высоту до 90 м и укладывается с разуклонкой до 20˚ от горизонтальной плоскости. Через сутки на уложенную подготовку из полистиролбетона можно укладывать цементно-песчаную стяжку. Раствор для стяжки также приготавливается и подается пневмонагнетателем. С использованием героторного насоса скорость производства работ по приготовлению, подаче и укладке полистиролбетона в три раза выше, а стоимость работ по утеплению кровель с учетом материалов в два раза ниже, чем с использованием плитного утеплителя из пенополистирола.
После укладки с протяжкой полусухого цементно-песчаного раствора, поверхность получившейся стяжки затирается дисковыми машинами. Образовавшаяся поверхность будет повторять геометрию разуклонки полистиролбетона, являться ровным и прочным основанием для настила наплавляемых рулонных гидроизоляционных материалов.
Рабочий процесс организуется непосредственно на строительной площадке с выделением рабочей зоны (РЗ) и участка приемки и подготовки материалов (УПП).
На участке приёмки и подготовки материалов происходит заготовка материала, который планируется к выработке за 1 смену, а также подготовка пневмонагнетателя, разматывание шлангов и т.п.
В рабочей зоне параллельно с подготовкой пневмонагнетателя, происходит монтаж пароизоляции. После устройства пароизоляции в пневмонагнетатель загружается портландцемент, кварцевый песок, заполнитель, в качестве которого выступают вспененные гранулы полистирола (ПВГ), вода. Посредством шлангов жёсткая смесь подаётся к месту производства работ, укладывается согласно проекту кровельного покрытия и укрывается материалом от внешних воздействий. Следующим этапом производится раскладка армирующей сетки и устройство цементно-песчаной стяжки из жесткой смеси с затиркой поверхности. Одновременно выполняются плавные переходы примыканий, галтели под укладку гидроизоляции, осуществляется укрытие участков от внешних воздействий.
Результаты исследований
Для определения состава и последовательности технологических операций устройства и ремонта оснований кровельных покрытий использованы проектные конструктивные и организационно технологические решения. Декомпозиция на отдельные конструктивные элементы конструктивного решения основания кровельного покрытия с теплоизоляционным слоем из полистиролбетона позволила выполнить описание последовательности при производстве работ на строительной площадке и сформировать состав соответствующих технологических процессов и операций (табл. 1).
Таблица 1.
Соответствие конструктивных элементов и технологических процессов устройства основания кровельного покрытия с теплоизоляционным слоем из полистиролбетона

Упорядочение рабочих операций при строительстве и ремонте оснований плоских кровель выполнялось в следующей последовательности:
− моделирование строительных процессов с выделением организационно-технологической и функциональной связи процессов устройства основания плоских кровель;
− разработка формализованных методов упорядочения технологических операций, входящих в состав технологических процессов устройства оснований плоских кровель и формирование на их базе организационно-технологических моделей;
− формализация наиболее важных параметров моделей, таких как удельные трудозатраты, количественный и квалификационный состав исполнителей технологических процессов и операций устройства и ремонта оснований плоских кровель.
Разработан упорядоченный перечень технологических процессов и операций устройства основания плоской кровли покрытия с указанием рабочих мест выполнения работ (таблица 2).
Таблица 2.
Технологические процессы и операции устройства конструкции плоской кровли
|
Наименование технологического процесса (технологической операции) |
Исполнители: кровельщики |
Рабочее пространство процесса (операции) |
Обозначение процесса (операции) |
|
1. Монтаж пароизоляции |
|
|
I |
|
1.1 Раскатка рулонов с нарезкой полотнищ |
3 разр. –2 |
РЗ, УПП |
У1 |
|
1.2 Склеивание полотнищ между собой |
3 разр. –1 |
РЗ |
У2 |
|
II.Устройство теплоизоляционного, уклонообразующего слоя из полистиролбетона |
|
|
|
|
2.1 Подготовка пневмонагнетателя, материалов, (песок, цемент, вспененые шарики полистирола, вода), разматывание шлангов |
3 разр. –1 2 разр. –1 |
УПП |
У3 |
|
2.2 Укладка полусухой полистиролбетонной смеси с подачей смеси пневмонагнетателем, разравниванием его, установкой и снятием маячных реек, переноской шлангов в процессе работы и очисткой их от смеси |
3 разр. –2 |
РЗ |
У4 |
|
2.3 Укрытие участков захватки |
2 разр. –1 |
РЗ |
У5 |
|
III. Устройство выравнивающего слоя |
|
|
|
|
3.1 Подготовка пневмонагнетателя, материалов, (песок, цемент, вода), разматывание шлангов |
3 разр. –1 2 разр. –1 |
УПП |
У6 |
|
3.2 Укладка арматурной сетки |
3 разр. –1 |
РЗ |
У7 |
|
3.3 Укладка жесткой (полусухой) цементно-песчаной смеси с подачей смеси пневмонагнетателем, разравниванием его, установкой и снятием маячных реек, переноской шлангов в процессе работы и очисткой их от смеси |
3 разр. –1 3 разр. –1 |
РЗ |
У8 |
|
3.4 Шлифовка поверхности затирочной машиной |
3 разр. –1 |
РЗ |
У9 |
|
3.5 Устройство цементных бортиков для плавного перехода рулонного ковра в местах примыканий к стенам, парапетам, лифтовым и вентиляционным шахтам |
3 разр. –1 |
РЗ |
У10 |
|
3.6 Укрытие участков захватки |
2 разр. –1 |
РЗ |
У11 |
|
IV. Устройство гидроизоляции |
|
|
|
|
4.1 Огрунтовка поверхности основания битумной мастикой |
3 разр. –1 |
РЗ |
У12 |
|
4.2 Наклейка рулонных материалов в 2 слоя методом подплавления мастичного слоя газопламенными горелками 10м2 |
3 разр. –1 4 разр. –1 |
РЗ |
У13 |
|
4.3 Обделка свесов и примыканий |
4 разр. –1 |
РЗ |
У14 |
Примечания к таблице 2.2:
РЗ – рабочая зона; УПП – участок приемки и подготовки материалов.
В результате технологического упорядочения этих операций сформирована организационно-технологическая последовательность устройства основания из полистиролбетона и кровельного покрытия (рис. 1).
|
|
Наименование технологического процесса и технологической операции |
t работы, мин |
|||||||||||||||
|
1 |
2 |
3 |
4 |
|
|||||||||||||
|
20 |
40 |
60 |
80 |
100 |
120 |
140 |
160 |
180 |
200 |
220 |
240 |
260 |
280 |
||||
|
I |
Устройство пароизоляции из полиэтиленовой пленки в один слой насухо. 100м2 |
50 |
|
|
|
|
|
|
|
|
|
|
|
|
|
||
|
1.1 |
Раскатка рулонов с нарезкой полотнищ |
|
|
|
|
|
|
|
|
|
|
|
|
|
|
||
|
1.2 |
Укладка полиэтиленовой пленки в один слой на плиты перекрытий с напуском полотен |
|
|
|
|
|
|
|
|
|
|
апнгпл |
|
|
|
||
|
1.3 |
Разметка и нарезка профиля по месту |
|
|
|
|
|
|
|
|
|
|
|
|
|
|
||
|
II |
Устройство теплоизоляционного, уклонообразующего слоя из полистиролбетона. 20 м3~100м2 |
|
|
|
|
|
|
|
|
|
|
|
|
|
|
||
|
2.1 |
Подготовка пневмонагнетателя, материалов, (песок, цемент, вспененые шарики полистирола, вода), разматывание шлангов |
|
|
|
|
|
|
|
|
|
|
|
|
|
|
||
|
2.2 |
Укладка полусухой полистирол бетонной смеси с подачей смеси |
|
|
|
|
|
|
|
|
|
|
|
|
|
|
||
|
2.3 |
Укрытие участков захватки 100 м2 |
|
|
|
|
|
|
|
|
|
|
|
|
|
|
||
|
|
|
|
|
|
|
|
|
|
|
|
|
|
|
|
|
||
|
III |
Устройство выравнивающего слоя |
|
|
|
|
|
|
|
|
|
|
|
|
|
|
||
|
3.1 |
Подготовка пневмонагнетателя, материалов, (песок, цемент, вода), разматывание шлангов. |
|
|
|
|
|
|
|
|
|
|
|
|
|
|
||
|
3.2 |
Укладка арматурной сетки |
|
|
|
|
|
|
|
|
|
|
|
|
|
|
||
|
3.2.1 |
Связка стыков сеток |
|
|
|
|
|
|
|
|
|
|
|
|
|
|
||
|
3.3 |
Укладка полусухой цементно-песчаной смеси с подачей смеси пневмонагнетателем, разравниванием его, установкой и снятием маячных реек, переноской шлангов в процессе работы и очисткой их от смеси |
|
|
|
|
|
|
|
|
|
|
|
|
|
|
||
|
3.4 |
Шлифовка поверхности затирочной машиной |
|
|
|
|
|
|
|
|
|
|
|
|
|
|
||
|
3.5 |
Устройство цементных бортиков для плавного перехода рулонного ковра в местах примыканий к стенам, парапетам, лифтовым и вентиляционным шахтам |
|
|
|
|
|
|
|
|
|
|
|
|
|
|
||
|
3.6 |
Укрытие участков захватки |
|
|
|
|
|
|
|
|
|
|
|
|
|
|
||
|
|
|
|
|
|
|
|
|
|
|
|
|
|
|
|
|
||
|
|
Наименование технологического процесса и технологической операции |
t работы, мин |
|||||||||||||||
|
20 |
40 |
60 |
80 |
100 |
120 |
140 |
160 |
180 |
200 |
220 |
240 |
280 |
140 |
||||
|
IV |
Устройство гидроизоляции |
|
|
|
|
|
|
|
|
|
|
|
|
|
|
||
|
4.1 |
Огрунтовка поверхности основания битумной мастикой 10м2 |
|
|
|
|
|
|
|
|
|
|
|
|
|
|
||
|
4.2 |
Наклейка рулонных материалов в 2 слоя методом подплавления мастичного слоя газопламенными горелками 10м2 |
|
|
|
|
|
|
|
|
|
|
|
|
|
|
||
|
К1 |
К1 |
К1 |
К1 |
К1 |
К1 |
К1 |
К1 |
К1 |
К1 |
К1 |
К1 |
|
|
|
К2 |
К2 |
К2 |
|
|
|
|
|
|
|
|
|
|
|
|
К3 |
|
|
|
|
|
|
|
|
|
|
|
|
|
|
К4 |
|
|
|
|
|
|
|
|
|
|
|
|
|
|
|
|
|
|
|
|
|
|
|
|
|
|
|
|
|
|
|
|
|
|
|
|
|
|
|
|
|
|
|
|
К5 |
К1 |
|
|
|
|
|
|
|
|
|
|
|
|
|
К6 |
|
|
|
|
|
|
|
|
|
|
|
|
|
Рис. 1. Организационно-технологическая последовательность устройства кровельного покрытия
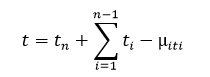
Для каждой технологической операции введено значение времени ее выполнения tijkn, где i – номер технологического процесса,
j – номер технологической операции,
k – номер слоя, в котором находится операция,
n – индекс элемента последовательности (номер технологической операции по порядку ее следования).
Общая продолжительность последовательного выполнения работы Т составляет: Т1= 𝑡1+𝑡2+…+𝑡𝑛 = 24 + 194 + 24=242; Т2= 24 + 62,2 + 118 + 39,5 + 26,5 = 270,2 мин. При этом показатели продолжительности выполнения каждого технологического процесса устанавливаются с учетом выявления рациональной продолжительности операций и их максимального совмещения. Таким образом, общая продолжительность технологических операций может быть определена как значение t по следующей формуле:

где t – продолжительность выполнения всех операций;
tn – продолжительность выполнения последней операции;
µi – коэффициент совмещения во времени i и (i+1) операций, равный
![]()
где 𝑡 𝑖+1 – продолжительность выполнения (i+1) операции, совмещаемой с i-й операцией;
𝑡𝑖 – продолжительность выполнения i-й операции.
µ1 = 194/ 24 =8,08; µ2 = 24/ 194 =0,12;
µ1= 62,2/ 24 =2,59; µ2 = 118/ 62,2=1,9; µ3 = 39,5/ 118=0,33; µ4 = 26,5/ 39,5 =0,67;
t = 30 +100 = 130 мин.
Продолжительность выполнения устройства основания кровельного покрытия сокращается на 38% (с 210 до 130 мин) для кровельного покрытия площадью 100 кв.м при условии совмещения технологических операций. Выполненная фрагментация на слои вводится для оценки технологических операций, которые могут выполняться параллельно.
ЗАКЛЮЧЕНИЕ И ОБСУЖДЕНИЕ
Область применения разработанной технологии распространяется на здания различного назначения: жилые, общественные и промышленные здания, спортивные объекты, крытые парковки, покрытия автозаправочных станций, террасные и другие покрытия.
Использование в практике организационно-технологического проектирования и строительства зданий различного назначения плоских кровель с применением альтернативных технических решений, обеспечивающих требования по теплозащите зданий, обуславливает необходимость исследования и определения технологических параметров, необходимых для обоснованного выбора конкурентоспособных организационно-технологических решений, обеспечивающих сокращение трудоемкости, продолжительности и стоимости производства работ на строительной площадке.
Формирование организационно-технологических моделей базируется на основе принципов экономии труда и времени, которые были предложены Ф. Тейлором ещё в конце XIX века, методов сетевого планирования, теории расписаний, теории графов, а также формальных методов экспертного оценивания, и использован в аналогичных исследованиях [15-17]. Такой подход обеспечивает рациональные способы организации рабочего места, четкое распределение обязанностей между рабочими звена с учетом разделения труда и максимально возможное совмещение технологических операций.
Определение состава и последовательности технологических операций и процессов с последующим упорядочиванием их во времени и пространстве позволяет выявить резервы совершенствования и установить рациональные технологические параметры, как для новых, так и для усовершенствованных организационно-технологических решений.
1. Грабовый П.Г. Национальная стратегия внедрения энергоресурсов и экологически безопасных (зеленых) технологий и производств в строительство и ЖКХ / П.Г. Грабовый, Л.А. Манухина // Недвижимость: экономика, управление. - 2014. - № 1-2. - С. 6-8.
2. Король Е.А. Актуальные вопросы энергоэффективности зданий и сооружений, пути их решения// Вестник МГСУ. 2009. No3. С 3-10.
3. Король, О.А. Основные подходы и принципы формирования методики оценки эффективности энергосберегающих мероприятий в строительном производстве / О.А. Король // Научное обозрение. - 2015. - № 12. - С. 393-396.
4. Король, О.А. Исследования и наукоемкие разработки в области энергоэффективного строительного производства / О.А. Король // Строительные материалы. - 2015. - № 6. - С. 13-15.
5. Лапидус, А.А. Моделирование и оптимизация организационно-технологических решений при возведении энергоэффективных ограждающих конструкций в гражданском строительстве / А.А. Лапидус, А.А. Жунин // Вестник МГСУ. - 2016. - №5. - С. 59-71.
6. Тхо В.Д., Лам Т.В., Король Е.А., Булгаков Б.И., Александрова О.В., Ларсен О.А. Теплоизоляционные свойства эффективных легких бетонов для трехслойных ограждающих покрытий зданий// Промышленное и гражданское строительство. 2020. No 5. С.36-44.
7. Король Е. А. Трехслойные ограждающие железобетонные конструкции из легких бетонов и особенности их расчета. Москва: АСВ, 2001. 256 с.
8. Korol Elena, Vu Dinh Tho, Nguyen Huy Hoang. Analysis of the effectiveness of thermal insulation of a multi-layer reinforced concrete slab using a layer of concrete with low thermal conductivity under the climatic conditions of Vietnam. MATEC Web of Conferences 251, 04026 (2018). 8p. https://doi.org/10.1051/matecconf/201825104026.
9. Рахманов В.А. Полистиролбетон - высокоэффективный материал для ограждающих конструкций жилых и общественных зданий// Строительство: Новые Технологии - Новое Оборудование. 2011. No 9. - с. 16-22.
10. Рахманов В. А. Резервы теплозащитных и прочностных свойств полистиролбетона и эффективности его применения в строительстве// Промышленное и гражданское строительство. 2017. No3. С. 67-72.
11. Носков А.С., Беляков В.А. Конструкции из полистиролбетона для строительства жилых зданий // Жилищное строительство. 2008. No 5. С. 24-25.
12. Король Е.А., Берлинова М.Н. Особенности расчета стеновых панелей с монолитной связью слоев на стадиях монтажа, транспортирования и эксплуатации// Вестник МГСУ. 2019.Vol 14(3). С 367-375
13. Korol E.А, Berlinova M. Calculation of multilayer enclosing structures with middle layer of polystyrene concrete // MATEC Web of Conferences. 2018. Vol. 193. P. 3020. DOI:https://doi.org/10.1051/matecconf/201819303020
14. Король Е.А., Пугач Е.М., Харькин Ю.А. Влияние технологических факторов на формирование связи слоев многослойной ограждающей конструкции // Вестник МГСУ. 2014. No 3. С. 67-75.
15. Калюжнюк, М. М. Структурная классификация элементов стро-ительных процессов / М. М. Калюжнюк, Р. Н. Сандан // Вестник гражданских инженеров. - 2008. - №1(14). - С. 46-52.
16. Король, Е.А. Организационно-технологическое моделирование процессов устройства кровельных покрытий с модульной системой озеленения / Е.А. Король, Н.С. Шушунова // Вестник МГСУ. - 2019. - Т. 14. -№ 2 (125). - С. 250-261.
17. Korol E.A., Shushunova N.S., Mailyan A.L. Organizational and Technological Procuring of Roofing Devices with Greening Systems // International science and technology conference «FarEastCon-2019». OP Conference Series: Materials Science and Engineering -2020. - art. no. 032059. - V.753(3) DOI:https://iopscience.iop.org/article/10. 1088/1757-899X/753/3/032059




