from 01.01.2000 until now
Penza, Penza, Russian Federation
from 01.09.1967 to 31.12.2018
Penza, Penza, Russian Federation
CSCSTI 67.11
CSCSTI 67.21
CSCSTI 67.01
Russian Classification of Professions by Education 08.03.01
Russian Classification of Professions by Education 08.02.01
Russian Library and Bibliographic Classification 38
Russian Library and Bibliographic Classification 308
Russian Trade and Bibliographic Classification 50
Russian Trade and Bibliographic Classification 5413
Russian Trade and Bibliographic Classification 5414
The results of inspection of load-bearing and enclosing structures of five-story apartment houses are presented. An analysis of the causes of the manifestation of deformations in the outer walls and in the stairwells of buildings is performed. The physical and moral deterioration of buildings is established. The general condition of buildings is considered satisfactory. All the main building elements are suitable for operation, but some major repairs are required. Recommendations are given for preventing and monitoring the development of deformations in buildings.
inspection and operation of buildings, uneven deformation of the base, deformation of load-bearing and enclosing structures, physical wear and tear.
Необходимость в проведении обследовательских работ, их объем, состав и характер зависят от поставленных конкретных задач. Основанием для обследования могут быть следующие причины: наличие дефектов и повреждений конструкций (например, вследствие силовых, коррозионных, температурных или иных воздействий, в том числе неравномерных просадок фундаментов), которые могут снизить прочностные, деформативные характеристики конструкций и ухудшить эксплуатационное состояние здания в целом; выявление отступлений от проекта, снижающих несущую способность и эксплуатационные качества конструкций; отсутствие проектно-технической и исполнительной документации; изменение функционального назначения зданий и сооружений; возобновление прерванного строительства зданий и сооружений при отсутствии консервации или по истечении трех лет после прекращения строительства при выполнении консервации; деформации грунтовых оснований; необходимость контроля и оценки состояния конструкций зданий и сооружений, расположенных в зоне влияния вновь строящихся объектов;
Выполнено натурное обследование фактического состояния несущих и ограждающих конструкции зданий жилых домов Пензенского совхоза-техникума.
При составлении заключения по данной работе были использованы следующие материалы и документы:
- Задание администрации Пензенского совхоза-техникума на проведение обследования состояния зданий жилых домов № 48 и № 49;
- Технический отчёт о комплексных инженерных изысканиях на участке строительства девятиэтажного жилого дома со встроенно-пристроенным магазином в районе совхоза-техникума города Пензы [1];
- Результаты натурного обследования фактического состояния зданий жилых домов;
- Беседы с жильцами домов, их критические замечания и пожелания.
Обследуемые жилые дома № 48 и № 49 совхоза-техникума расположены на склоне долины ручья с местным названием "Веселый Дунай". Естественный рельеф склона частично нарушен деятельностью человека, подрезан и спланирован. Относительная разность отметок природной поверхности по склону между домами 48 и 49 достигает 7-8 м. Склон до домов, между домами и ниже задернован, поросший деревьями и кустарником. Следов естественных смещений (оползней) грунтовых масс по склону не наблюдается.
В геологическом строении района расположения жилых домов принимают участие четвертичные аллювиальные отложения, верхней и нижней зон маастрихтского яруса верхнего отдела меловой системы и сызранские слои нижней свиты палеогена [2, 3, 4]. В верхней части эти отложения выветрелые.
С поверхности склона залегают насыпной и почвенно-растительный слои. Насыпной слой представлен глинистой почвой с редкими обломками кирпича. Почвенно-растительный слой также глинистый. По степени морозоопасности эти грунты – сильнопучинистые.
Четвертичные аллювиальные отложения представлены глиной коричневато-серой, ожелезненной.
Элювиальные отложения, развитые по породам палеогена, представлены, суглинком зеленовато-коричневато-серым, ожелезненым и щебенистым грунтом.
Элювиальные отложения, развитые по породам верхнего мела, представлены в верхней части – суглинком зеленовато-коричневым, слюдистым, в нижней части - глиной коричневато-зеленовато-серой, участками с прослоями щебня местного песчаника.
Коренные отложения маастрихтского яруса верхнего мела представлены глиной темно-серой, слюдистой, известковистой.
Подземные воды при инженерных изысканиях встречены на глубине 9,0 - 14,0 м от поверхности. На отдельных участках встречаются подземные воды типа "верховодка". Образование "верховодок" происходит за счёт утечек воды из подземных коммуникаций, а также за счёт инфильтрации атмосферных осадков в период снеготаяния и затяжных дождей. Геологическое строение площадки весьма благоприятно для образования "верховодки" [5].
Расположение жилых домов поперёк склона препятствует естественному природному движению подземных вод по склону и способствует скоплению их с северной стороны зданий в весенний период и осенью.
Грунтами основания жилых домов служат глины аллювиальные, тугопластичные. Согласно лабораторных испытаний, выполненных Пензенским трестом инженерно-строительных изысканий, просадочными и набухающими свойствами эти глины не обладают. По степени морозоопасности относятся к слабопучинистым грунтам.
Средние значения физико-механических характеристик грунтов основания, следующие:
|
Физико-механические характеристики грунтов |
Значение |
|
природная влажность, % |
29,0 |
|
плотность природная, тс/м3 |
1,75 |
|
плотность сухого грунта, тс/м3 |
1,37 |
|
плотность минеральных частиц, тс/м3 |
2,70 |
|
коэффициент пористости |
0,98 |
|
степень влажности |
0,82 |
|
удельный вес, кН/м3 |
1,72 |
|
граница текучести, % |
44,0 |
|
граница раскатывания, % |
22 |
|
число пластичности |
22 |
|
показатель текучести |
0,36 |
|
удельное сцепление, кПа |
34,0 |
|
угол внутреннего трения, град |
18,0 ° |
|
модуль деформации, МПа |
16,0 |
Прочностные характеристики грунта по данным испытаниям достаточно высокие. Испытания на сжимаемость показывают, что данные грунты относятся к среднесжимаемым.
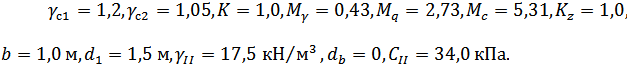
Определим расчётное сопротивление грунта в соответствии со СНиП [6].
При определении размеров подошвы фундаментов нормы требуют, чтобы среднее давление по подошве фундамента не превышало расчётного сопротивления грунтов основания, расчётное сопротивление грунта определяется по формуле:где
– коэффициент условий работы грунтов основания;
– коэффициент условий работы сооружения совместно с основанием;
– коэффициент, зависящий от способа определения прочностных характеристик грунта, в нашем случае определялись непосредственными испытаниями;
– коэффициенты, зависящие от угла внутреннего трения несущего слоя;
– коэффициент, зависящий от ширины подошвы фундамента;
b – ширина подошвы фундамента;
– осреднённый удельный вес грунтов, залегающих ниже подошвы фундаментов;
– глубина заложения подошвы фундамента;
– среднее значение удельного веса грунтов, залегающих выше подошвы фундамента;
– глубина подвала;
– удельное сцепление грунта, залегающего непосредственно под подошвой фундамента.
При определении расчётного сопротивления грунта приняты следующие допущения:
- ширина подошвы фундамента 1,0 м,
- глубина заложения подошвы 1,5 м,
- подвал в здании отсутствует.
Эти допущения ведут к получению меньшего значения расчётного сопротивления грунта, чем должно быть в действительности.
Для нашего случая имеем:

Расчётное сопротивление грунта будет равно:

Практика проектирования, жилых домов серии 447 (дома 48, 49 Пензенского совхоза-техникума) показывает, что среднее давление под подошвой фундаментов у них не превышает 200 кПа. Таким образом, прочностные свойства грунта достаточны для нормальной эксплуатации зданий в соответствии с требованиями СНиП [6].
Результаты обследования.
Жилые дома 48, 49 Пензенского совхоза-техникума представляют собой пятиэтажные кирпичные здания, выполненные из силикатного кирпича. Дом 48 имеет с южной стороны цокольный этаж на половину ширины здания вниз по склону. Перекрытия в домах сборные железобетонные из пустотных плит, перекрытия в цокольном этаже дома 48 по деревянным балкам. Здания с продольными несущими стенами. Жилой дом 48 в средней части здания, имеет подвал, а с торцов - встроенные магазины. Кровля зданий - совмещённая, рулонная с неорганизованным водоотводом. Здания двухсекционные, выполненные по серии 447-С с двумя лестничными клетками. Окна и двери деревянные.
Целью обследования являлось выявление фактического состояния здания в настоящее время. Оценка технического состояния проводится различными методами. Нами использован наиболее простой - визуальный.
Для обеспечения технической возможности использования здания по назначению оно должно обладать соответствующей надёжностью. После возведения здания и пуска его в эксплуатацию надёжность должна обеспечиваться правильной эксплуатацией и ремонтом. В процессе эксплуатации здание подвергается износу. Различают износ физический и моральный. Физический износ заключается в ухудшении технических качеств и состояния конструктивных элементов. Моральный износ подразумевает достижение такого состояния, при котором здание перестаёт соответствовать своему функциональному назначению.
По результатам визуального обследования фактического состояния несущих и ограждающих конструкций зданий жилых домов 48 и 49 Пензенского совхоза-техникума в соответствии с [7, 8, 9] общее техническое состояние зданий удовлетворительное. Все конструктивные элементы в целом пригодны для эксплуатации, но требуется некоторый капитальный ремонт. Физический износ составляет от 21 до 40 %.
По [7] жилые дома каменные обыкновенные отнесены ко II группе капитальности, срок службы которых установлен ориентировачно в 125 лет. Важным фактором поддержания физической долговечности зданий является соблюдение сроков проведения планово-предупредительных ремонтов - текущих и капитальных. Текущий ремонт проводится раз в 3 года, капитальный - раз в 25 лет (по нормам). Результаты визуального осмотра представлены на рис. 1 – 6.

Рис. 1. Дом 49. Трещины стены главного фасада.

Рис. 2. Дом 49. Трещины стены дворового фасада.

Рис. 3. Дом 49. Трещины стен западного и восточного торцов здания

Рис.4. Дом 48. Трещины стены главного фасада.

Рис. 5. Дом 48. Трещины стены дворового фасада

Рис. 6. Дом 48. Трещины стен западного и восточного торцов здания
На рисунках по результатам обследования показано расположение наиболее существенных трещин, их примерное направление и ширина раскрытия в миллиметрах. Трещины с шириной раскрытия менее 1 мм не показаны.
На рис. 1 показаны, трещины главного фасада дома 49. Трещины проходят почти вертикально вблизи лестничных клеток и границ подвала под средней частью здания. Ширина раскрытия трещин до 4 мм. Возможной причиной их образования является наличие подвала под средней частью здания, различная глубина заложения подошвы фундаментов по длине дома, расположение подошв фундаментов в различных грунтовых слоях, замачивание грунтов основания.
Из рис. 2, 3 видно, что трещины расположены в юго-восточном углу здания, ширина раскрытия до 3 мм, этот угол здания имеет большую осадку, чем остальная часть дома. Возможной причиной появления этих трещин может быть перегрузка восточной торцовой стены, наличие более слабого прослойка грунта под этим углом здания, влияние забивки свай при строительстве нового жилого дома поблизости.
Наибольшее развитие получили трещины в западной торцовой стене здания с шириной раскрытия до 5 мм и наибольшей густотой их расположения. Причинами их образования могут быть наличие более слабого грунта под этой частью здания, оползневые подвижки грунта, замачивание грунта, динамические воздействия от автотранспорта, обслуживающего магазин, различная глубина заложения подошв фундаментов.
Дом 48 деформируется несколько меньше дома 49. Наибольшее количество трещин расположено на стене дворового фасада здания. Остальные стены имеют трещины с шириной раскрытия 2-3 мм на отдельных участках стен. Трещины стены дворового фасада (рис 5) проходят в основном по швам кладки, имеют ширину раскрытия до 4 мм, расположены большей частью, вертикально и только в восточной стороне стены имеются наклонные трещины. Вид трещин, их расположение, прохождение по швам кладки говорит о достаточно хорошем состоянии кладки, с незначительным снижением её прочности.
Согласно классификации деформаций по степени повреждения несущих конструкций [10] трещины обследованных жилых домов 48 и 49 совхоза-техникума полностью подходят под категорию:
−деформации, не нарушающие нормальной работы здания;
−внешние признаки категории деформаций: повреждение несущих конструкций (в основном распространены волосные трещины на стенах, ряд трещин до 3 ÷ 5 мм, отдельные трещины до 8 ÷ 10 мм).
По наружным стенам зданий имеются участки, где происходило замачивание кладки вследствие протечек из-за нарушения кровли (рис.2), замачивание за счёт стока вод с балкона второго этажа в связи с наклоном балконной плиты к зданию (рис. 4).
Карнизы парапетов торцовых стен разрушены на 1 - 2 ряда кирпичной кладки у обоих, домов.
По предварительным результатам обследования можно сделать следующие выводы и рекомендации:
1. В процессе длительной эксплуатации жилых домов 48 и 49 Пензенского совхоза-техникума в конструкциях здании появились трещины с шириной раскрытия до 5 мм, проходящие в. основном вертикально по швам кладки. Трещины расположены в продольных и поперечных наружных стенах зданий, в лестничных клетках. Деформаций других конструктивных элементов визуально не зафиксировано. В соответствии с положением о проведении планово-предупредительного ремонта жилых и общественных зданий физический износ зданий не превышает 40% и общее состояние зданий признается удовлетворительным. Все основные элементы зданий пригодны для эксплуатации.
2. Основными причинами появления деформаций в стенах зданий являются неодинаковая сжимаемость грунтов основания, расположение здания на откосе, замачивание грунтов основания, неодинаковая глубина заложения подошвы, фундаментов, динамические воздействия от движения автотранспорта и забивки свай поблизости, наличие дополнительного цокольного этажа на половину дома, наличие подвала под частью дома.
3. Деревянные элементы (окна, двери) к настоящему времени рассохлись, т.к. были выполнены из сырого материала, и неплотно закрываются, вызывая дополнительные нарекания жильцов.
4. Для наблюдения за дальнейшим развитием деформации зданий рекомендуем на трещины с шириной раскрытия 4-5 мм поставить маяки и по ним наблюдать, за динамикой развития трещин (растут, дышат).
5. Зданиям жилых домов необходим текущий ремонт - восстановление карнизов и парапетов, заделка трещин, ремонт кровли и т.д.
1. Technical report on complex engineering surveys at the construction site of a nine-story residential building with a built-in store in the area of the state farm-technical school of the city of Penza.
2. Koshkina N.V., Khryanina O.V., Ahrameev A.V. Engineering-geological features of clay soils of the territory of the Surskaya irrigation-watering system // Actual problems of modern foundation engineering with account of energy-saving technologies: materials of the IV All-Russian scientific-practical conference. Conf. Penza: Publishing house Penza. state. University of Architecture and Construction, 2014. p.51-53. ISBN 978-5-9282-1217-9.
3. Khryanina O.V., Ahrameev A.V., Zolotov S.N., Kolesnichenko A.V. Genesis of clayey soils of the territory of the city of Penza // Actual problems of modern foundation engineering taking into account energy-saving technologies: materials of the V All-Russian scientific-practical conference. Conf. Penza: Publishing house Penza. state. un-ta arkh-ry and build-va, 2014. p. 62-65. ISBN 978-5-9282-1216-2.
4. Koshkina N.V., Khryanina O.V., Astafiev M.V. Engineering-geological assessment of the Quaternary deposits of the Penza region // Actual problems of modern foundation engineering taking into account energy-saving technologies: materials of the IV All-Russian scientific-practical conference. Conf. Penza: Publishing house Penza. state. University of Architecture and Construction, 2014. p.53-56. ISBN 978-5-9282-1217-9.
5. Koshkina N.V., Khryanina O.V., Astafiev M.V., Reznik A.A. Problems of formation of groundwater in the built-up territories // Actual problems of modern foundation engineering taking into account energy-saving technologies: materials of V All-Russian scientific-practical. Conf. Penza: Publishing house Penza. state. un-ta arkh-ry and build-va, 2014. p.38-40.
6. SP 22.13330.2011. Bases of buildings and structures. Updated version of SNiP 2.02.01-83 * .Mregregion of Russia, 2011.
7. BCH 58-88 (p). Regulations on organization and carrying out of reconstruction of repair and maintenance of buildings, objects of municipal and social and cultural purpose. Goskomarkhitektury. The date of introduction is 1989-07-01.
8. Shein A.I., Bakushev S.V., Zernov V.V., Zaitsev M.B. Experience in inspecting buildings and structures. Modeling and mechanics of structures. 2017. № 5. P. 16.
9. Grigoriev Yu.S., Fateev V.V. The causes of deformation and destruction of building structures of an apartment house built on a park area. Grounds, foundations and mechanics of soils. 2017. № 5. P. 10-15.
10. Roitman A.G. Deformations and damage to buildings. Moscow: Stroiizdat, 1987.



